0
svar
78
visningar
bestäm gitterkonstanterna
Håller på med en uppgift om elektrondiffraktion och har fastnat på denna
aBestäm ur diagrammet och ekvation (8) värden på de båda gitterkonstanterna d1 och d2.
1 o 2 är med eftersom det bildas 2 ringar
Här är ena diagrammet där y-axeln är diametern på ringen o x-axel är 1/(U^0.5)

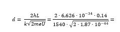
Ekvationen de pratar om jag uppgiften är
h står för plancks konstant, L för en sträcka, (meU)^0.5 är samma sak som rörelesemängden, p och k tror jag är numret på ordningen
Jag har också denna tabell

Jag försökte med den första så här men det känns fel

vilket blir ca 6,2*10^-16
Kan det stämma? Känns fel, har inget facit