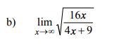
Bestäm gränsvärdet
Hej, jag och min vän håller på räkna gamla nationella och vi stötte på denna uppgift. Hon vet inte hur hon ska börja tänka och jag kommer inte ihåg hur jag löste uppgiften förr.
Hur ska man börja?
Jag ska bestämma och jag såg i deras facit att svaret är 2, men inte hur de kom fram till det.

För tydlighetens skull, testa att dela täljaren och nämnaren med x så du får . Vad händer med termen som innehåller x i nämnaren när x går mot oändligheten?
DEn kommer bli väldigt liten så man kan se den som försumbar.
Då blir frågan, ska man ta roten ur täljaren för sig och nämnaren för sig (dvs roten ur 16/roten ur 4) eller ska man ta roten ur hela divisionstecknet (dvs roten ur (16/ 4))?
Testa båda, det blir samma sak så spelar ingen roll.