4
svar
53
visningar
Bayan Ali behöver inte mer hjälp
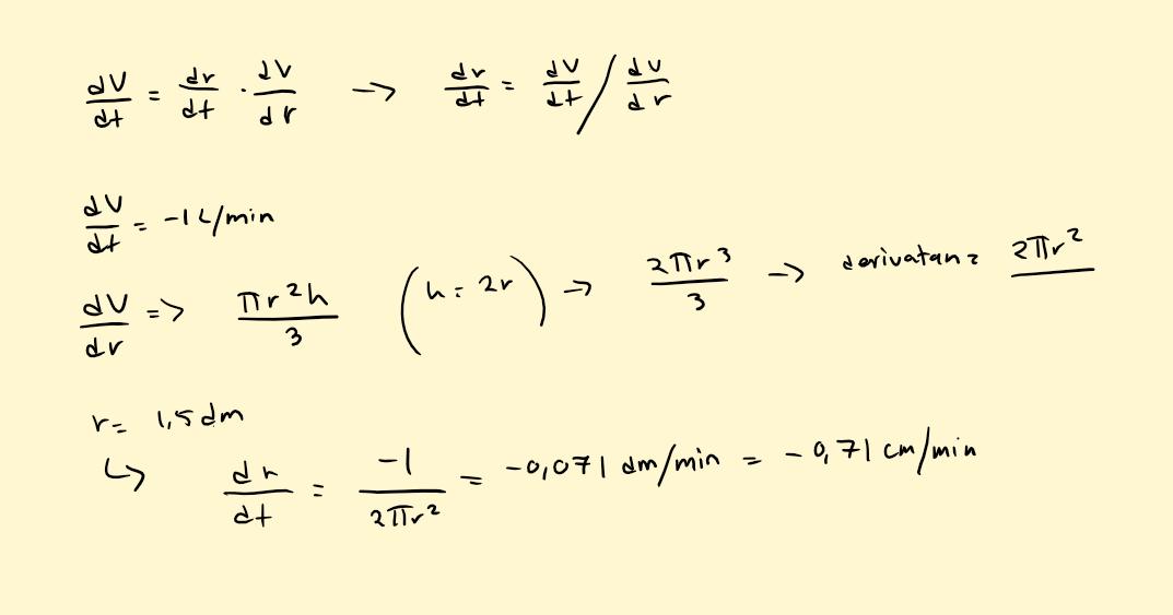
Bestäm hastigheten

Jag tänker så här

men det blir fel när jag skriver in det
Jag skulle tänka så här:
vattenytans radie är 0,75 dm, arean är pi*0,752 = A, säg.
Om vi har en cylinder med lodräta kanter och vätskearea A så sjunker nivån med 1/A dm per minut.
Det är samma fart som vattenytan i konen har i det ögonblick som arean är A.
Så vätskan sjunker med 1 / (pi*0,752) ≈ 0,56588 dm/minut.
Jag började titta på din lösning. Du har r = 1,5 dm men det ska väl vara 0,75 dm?
Nu har jag det. Det är ju dh/dt som söks. 2r = h så dh/dt är dubbla dr/dt.
Sätter du in 0,75 i stället för 1,5 och dubblar ditt svar får du samma som med min metod.
Anm. Du kunde skrivit konens volym som pi*h3 /12
Det ger dh/dt = – 4/(pi*1,52)