2
svar
109
visningar
Velebit behöver inte mer hjälp
Bestäm hastigheten v (1276)

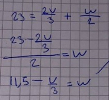
Detta är mina lösningar men det stämmer ej överens med facit. Kan någon se vart jag gör fel?
Du har w/2 på ena sidan och ska multiplicera båda sidorna med 2 för att få w fritt men råkar göra tvärtom:
Det är väldigt bra att träna på att gå igenom sina uträkningar steg för steg och kontrollera.
Programmeraren skrev:Du har w/2 på ena sidan och ska multiplicera båda sidorna med 2 för att få w fritt men råkar göra tvärtom:
Det är väldigt bra att träna på att gå igenom sina uträkningar steg för steg och kontrollera.
Aha såg det nu! Tack