Bestäm höjd och diameter
En lantbrukare skall bygga en silo av stål för förvaring av ensilage. Silon skall ha volymen 400 m3. Formen skall vara en rak stående cirkulär cylinder med plan botten och med ett halvklot som tak. Bestäm silons höjd och diameter så att materialåtgången för bygget blir minimal.
Hur har du försökt själv? Det står i Pluggakutens regler att du skall visa hur du har försökt själv och hur långt du har kommit. Meningen med Pluggakuten är att du skall få den hjälp du behöver för att kunna lösa dina uppgifter själv, inte att någon annan skall servera dig färdiga lösningar på dina problem. /moderator
Kalla radien r och höjden h.
Standardfråga 1a: Har du ritat?
Smaragdalena skrev:Standardfråga 1a: Har du ritat?

Lele skrev:Smaragdalena skrev:Standardfråga 1a: Har du ritat?
Jättebra!
Nu gäller det bara att med villkoret hitta minsta värdet för . Kan du vidare?
Kallaskull skrev:Lele skrev:Smaragdalena skrev:Standardfråga 1a: Har du ritat?
Jättebra!
Nu gäller det bara att med villkoret hitta minsta värdet för . Kan du vidare?
.jpg?width=800&upscale=false)
.jpg?width=800&upscale=false)
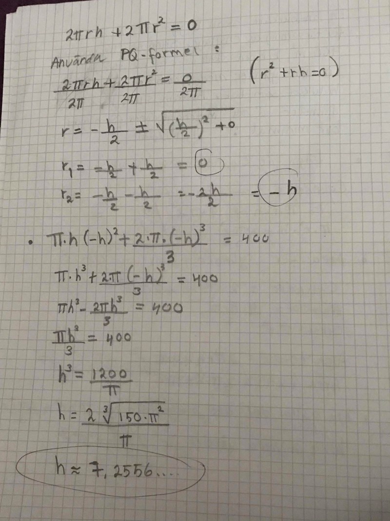
har kommit så långt, ser det bra ut
Hej
kolla in den här tråden (https://www.pluggakuten.se/trad/silo-1/)