Bestäm i(t), R-C parallella

Hallå, har problem med följande uppgift. Min plan var att hitta impedansen 'Z' till kretsen för att sedan beräkna spänningsvisaren U=Z*J. När jag sedan känner U kan jag hitta strömvisaren I2=U/R. Till sist beräknar jag I1=J-I2 med KCL. Det verkar dock bli fel, är min strategi åt skogen?
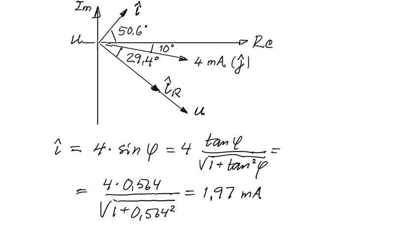
Edit: Rätt svar är i(t)=1.97cos(103t+50.6)mA

En fasvinkel på 0,0044o är inte ett sannolikt svar.
Rita visardiagram för strömmarna.
-j833 är en tiopotens fel
Nej, din strategi är inte åt skogen, det gäller mer att komma på vilka värden som måste beräknas först och vilka som kan vänta eller utelämnas.
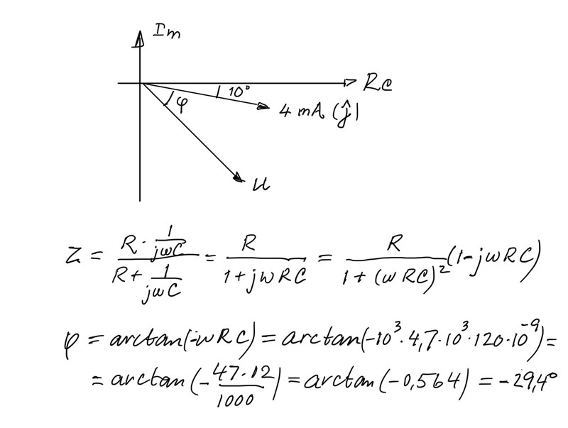
Vi börjar med ett visardiagram som Pieter Kuiper föreslagit.
Den totala strömmen j(t) är känd och spänningen u(t) är densamma över strömkällan, motståndet och kondensatorn. Då det är en RC-krets ligger spänningen efter strömmen j(t).


Jan Ragnar skrev:Nej, din strategi är inte åt skogen, det gäller mer att komma på vilka värden som måste beräknas först och vilka som kan vänta eller utelämnas.
Vi börjar med ett visardiagram som Pieter Kuiper föreslagit.
Den totala strömmen j(t) är känd och spänningen u(t) är densamma över strömkällan, motståndet och kondensatorn. Då det är en RC-krets ligger spänningen efter strömmen j(t).
Tack så himla mycket för den fina förklaringen :)