1
svar
170
visningar
Eugenia behöver inte mer hjälp
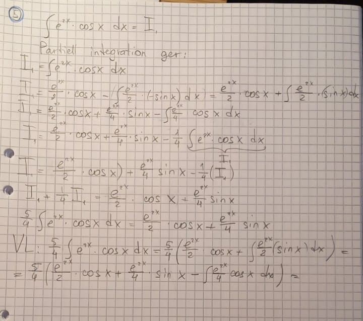
bestäm integral
Hej!
Efter tråden https://www.pluggakuten.se/trad/integration-136/ försöker jag att gå vidare med mina beräkningar och fastnat, här är mina beräkningar:

Jag ska integrera för evigt om jag fortsätter så här.. Jag har missat nåt
Kanske jag ska dividera med 5/4 istället för att fortsätta, eller?..
Efter sjätte raden får du att = högerledet, där det inte finns några integraler kvar. Använd detta!