1
svar
79
visningar
Bayan Ali behöver inte mer hjälp
Bestäm K

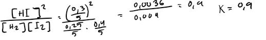
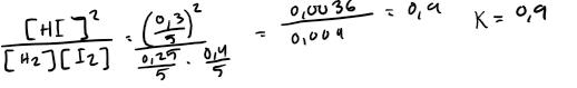
Jag får 0.9 men enligt facit ska svaret bli 3.6

Bayan Ali skrev:
Jag får 0.9 men enligt facit ska svaret bli 3.6
Från början fanns det 0,40 mol vätgas, 0,25 mol jodgas och 0 mol vätejodid. En del av vätgasen reagerar med en del av jodgasen, så att det förbrukas vätgas och jodgas samtidigt som det bildas vätejodid. Hur mycket vätgas och jodgas har förbrukats när det har bildats 0,30 mol vätejodid? Hur många mol vätgas respektive jodgas finns det kvar?

