1
svar
505
visningar
Wiki behöver inte mer hjälp
Bestäm koefficienten för a^7 termen
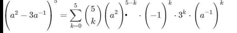
Bestäm koefficienten för termen i utvecklingen . Jag vet att man kan utveckla binomet till

men jag förstår generellt inte hur man tittar på en sådan uppgift och vet vad värdet på k är.
Du behöver lösa ekvationen (a2)5-k(a-1)k=a7