Bestäm konfidensintervall för my med approximativ 95%
Hej!
Jag ville approximera till binomialfördelning men märker att np(1-p)>=10 inte blir det utan mindre än 10 så jag vet faktiskt inte vad man kan approximera exponentialfördelning. Så jag undrar om man kan använda Po(u) då my >=15.

Jag tror inte du ska göra någon som helst approximation.
Smutsmunnen skrev:Jag tror inte du ska göra någon som helst approximation.
Jaha ok, hur är det tänkt att man ska gå tillväga? Så vitt jag vet känner jag inte till att man gör konfidensintervall för exponentialfördelning. E(X) för exponentialfördelning ges ju av 1/lambda där lambda och V(X)=1/lambda^2
I det här fallet är ju det du observerar en skattning av F(0,1). Använd det för skatta mu.
F(0,1) är ju sen inte exponentialfördelad utan binomialfördelning (givet sannolikheten 0,9 att överleva mer än 1000 timmar, vad är variansen av antalet som överlver 1000 timmar)
Smutsmunnen skrev:I det här fallet är ju det du observerar en skattning av F(0,1). Använd det för skatta mu.
F(0,1) är ju sen inte exponentialfördelad utan binomialfördelning (givet sannolikheten 0,9 att överleva mer än 1000 timmar, vad är variansen av antalet som överlver 1000 timmar)
Nu är jag inte med på hur vi har gått från exponentialfördelning till likformig fördelning och hur binomialfördelning har med saken att göra.
Jag har inte prataa om någon likformig fördelning?
Smutsmunnen skrev:Jag har inte prataa om någon likformig fördelning?
F(0,1) är det som jag tolkar som likformig fördelning. Du får gärna förklara vad du menar med det annars. Som sagt jag är inte med på tankegångarna och sen vad binomialfördelning har med saken att göra. Uppgiften nämnde att det är en exponentialfördelning.
Men kan man inte skatta 1/lambda som är väntevärdet för en exponentialfördelning?
F(0,1) är värdet i 0,1 av fördelningsfunktionen.
Alltså anta att varje glödlampa har livslängd T_i, det vi observerar här är en skattning av hur många som har en livslängd kortare än 1000, det vill säga vi observerar skattningen F(0,1)=1000.
destiny99 skrev:Men kan man inte skatta 1/lambda som är väntevärdet för en exponentialfördelning?
Ja men hur får du skattningen av lambda?
Smutsmunnen skrev:destiny99 skrev:Men kan man inte skatta 1/lambda som är väntevärdet för en exponentialfördelning?
Ja men hur får du skattningen av lambda?
Ingen aning. Jag tänkte bara spontant om det är något som boken tagit upp för skattning av lambda för exponentialfördelning.
Så du får en skattning av lambda genom skattningen av F(0,1)=1000.
Sedan är som sagt skattningen av F(0,1) binomialfördelad, kan du motivera det?
Smutsmunnen skrev:Så du får en skattning av lambda genom skattningen av F(0,1)=1000.
Sedan är som sagt skattningen av F(0,1) binomialfördelad, kan du motivera det?
Som sagt jag förstår inte vad binomialfördelning har med saken att göra. Är lite små förvirrad nu så jag kan ej svara på den frågan. Jag försöker förstå varför vi ens går till F(0,1)=1000.
Så strunta i binomialfärdelningrn till att börja. Kan du i ord beskriva vad det är vi observerar i uppgiften? Om jag frågade dig "Ungefär hur stor är sannolikheten att en lampa inte överlever mer än 1000 timmar?", vad skulle du svara då?
Smutsmunnen skrev:Så strunta i binomialfärdelningrn till att börja. Kan du i ord beskriva vad det är vi observerar i uppgiften? Om jag frågade dig "Ungefär hur stor är sannolikheten att en lampa inte överlever mer än 1000 timmar?", vad skulle du svara då?
Vi observerar livslängden på en elkomponent och av 100 st så fungerar en del efter 1000 timmar.
Så hur skulle du svara på frågan om sannolikheten?
Smutsmunnen skrev:Så hur skulle du svara på frågan om sannolikheten?
Du menar P(X>=1000 )=1-P(X<=999)?
Nej, jag frågar, utifrån det vi observerat: ungefär hur stor är sannolikheten att en lampa inte överlever mer än 1000 timmar?
Smutsmunnen skrev:Nej, jag frågar, utifrån det vi observerat: ungefär hur stor är sannolikheten att en lampa inte överlever mer än 1000 timmar?
P(T<=1000)=1-e^lambda*1000
Ja det stämmer ju i och för sig och är relevant men vad är det vi observerar i uppgiften? Alltså vad är x, vad är n och vad säger det om P(T<=1000)?
Smutsmunnen skrev:Ja det stämmer ju i och för sig och är relevant men vad är det vi observerar i uppgiften? Alltså vad är x, vad är n och vad säger det om P(T<=1000)?
Alltså x=90 ( en del st av lamporna vi observerar som funkar) och n=100(antalet elkomponenter tex lampor vi observerar). Vi observerar livslängden hos elkomponenten efter T timmar.
Så vad är en skattning av P(T<=1000)?
Vore inte en rimlig skattning, givet det vi observerat att P(T<=1000)=0,1, vi har ju sett att 10% av lamporna failat efter 1000 timmar?
Och är du med på att vi då har F(0,1)=1000 dvs P(T<=1000)=0,1?
Smutsmunnen skrev:Vore inte en rimlig skattning, givet det vi observerat att P(T<=1000)=0,1, vi har ju sett att 10% av lamporna failat efter 1000 timmar?
Och är du med på att vi då har F(0,1)=1000 dvs P(T<=1000)=0,1?
Var kommer 0,1 ifrån? Hm inte riktigt. Men har det att göra med att elkomponenter lampor är likafördelade ? Jag förstår inte vad F(0,1)=1000 står för? Det här med att 10% av lamporna inte fungerar efter 1000 timmar vet jag inte var du fått ifrån?
0,1 =10% andelen lampor som vi sett faila, vi har 100 lampor, 90 lyser fortfarande, 10 har alltså failat, 10/100=0,1, så en skattning av P(T<=1000)=0,1.
F är som sagt fördelningsfunktionen, vi pratar inte om någon likformig fördelning överhuvudtaget, vi pratar om fördelningsfunktionen för en exponentialfördelning.
Smutsmunnen skrev:0,1 =10% andelen lampor som vi sett faila, vi har 100 lampor, 90 lyser fortfarande, 10 har alltså failat, 10/100=0,1, så en skattning av P(T<=1000)=0,1.
F är som sagt fördelningsfunktionen, vi pratar inte om någon likformig fördelning överhuvudtaget, vi pratar om fördelningsfunktionen för en exponentialfördelning.
Ja ok. Vad menar man med skattning av P(T<=1000)=0.1?
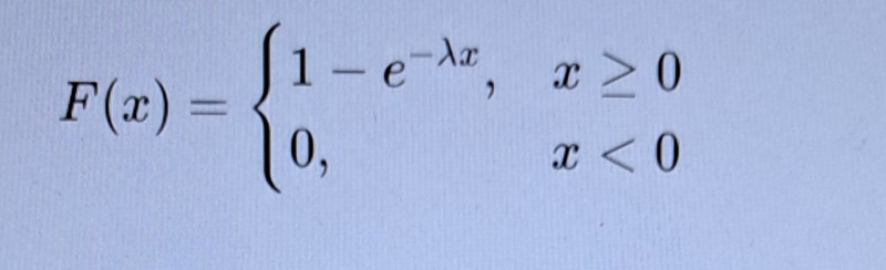
Ok , men fördelningsfunktionen för Exp ges väl såhär ? Var får du F(0,1)ifrån?
Ja precis det där är fördelnigsfunktionen för en exponentialfördelning. Så när vi har en skattning av F(0,1)=1000 så kan vi beräkna en skattning av lambda och en skattning av mu. Stoppa in x=0,1 och beräkna lambda.
På frågan "Vad menar man med skattning av P(T<=1000)=0.1" så vet jag inte vad jag ska svara. Vi gör en skattning av storheten P(T<=1000) och vi skattar det, utifrån vad vi observerat, med värdet 0,1, eftersom det bland de 100 lampor vi observerat var 10% som failade före T=1000.
Som sagt, i grunden: vad är det vi ser i uppgiften? Det vi ser är att det är 90% av lamporna som överlever mer än 1000 timmar eller ekvivalent att 10% inte gör det. Detta innebär att experimentet ger oss informationen om fördelningsfunktionen, som ju säger oss just något om hur stor andel som har en överlevnadstid mindre än T, det är definitionen av fördelningsfunktionen. Den informationen behöver vi sedan för att skatta lambda.
Smutsmunnen skrev:Ja precis det där är fördelnigsfunktionen för en exponentialfördelning. Så när vi har en skattning av F(0,1)=1000 så kan vi beräkna en skattning av lambda och en skattning av mu. Stoppa in x=0,1 och beräkna lambda.
På frågan "Vad menar man med skattning av P(T<=1000)=0.1" så vet jag inte vad jag ska svara. Vi gör en skattning av storheten P(T<=1000) och vi skattar det, utifrån vad vi observerat, med värdet 0,1, eftersom det bland de 100 lampor vi observerat var 10% som failade före T=1000.
Som sagt, i grunden: vad är det vi ser i uppgiften? Det vi ser är att det är 90% av lamporna som överlever mer än 1000 timmar eller ekvivalent att 10% inte gör det. Detta innebär att experimentet ger oss informationen om fördelningsfunktionen, som ju säger oss just något om hur stor andel som har en överlevnadstid mindre än T, det är definitionen av fördelningsfunktionen. Den informationen behöver vi sedan för att skatta lambda.
Men F(0.1)=1000 , är det ekvivalent med P(X<=1000)? Ska det inte vara Fx(1000)=0.1?
Ha! Du har rätt, jag tänkte bakvänt! Inte konstigt att du hade svårt att förstå!
Men vi har alltså F(1000)=0,1=1-e^(-lambda*1000)
Från det får du lambda och sedan mu.
Smutsmunnen skrev:Ha! Du har rätt, jag tänkte bakvänt! Inte konstigt att du hade svårt att förstå!
Men vi har alltså F(1000)=0,1=1-e^(-lambda*1000)
Från det får du lambda och sedan mu.
Hur får man my?
my=1/lambda för en exponentialfördelning
Smutsmunnen skrev:my=1/lambda för en exponentialfördelning
Juste! Men behöver vi skatta den också för att bilda en konfidensintervall?



Lösningsförslaget använde sig av binomial fördelning vilket för mig är oklart då jag löste den som vi pratat om och sen använde jag vanliga sättet man hittar konfidensintervall på för my.