Bestäm konstant
hej! Har kört fast lite här och undrar vilka metoder jag kan anvädna för att ta mig vidare. Jag vet att Z•Zkonjugat=reelt
så antar att det ska anvöndas på något vis
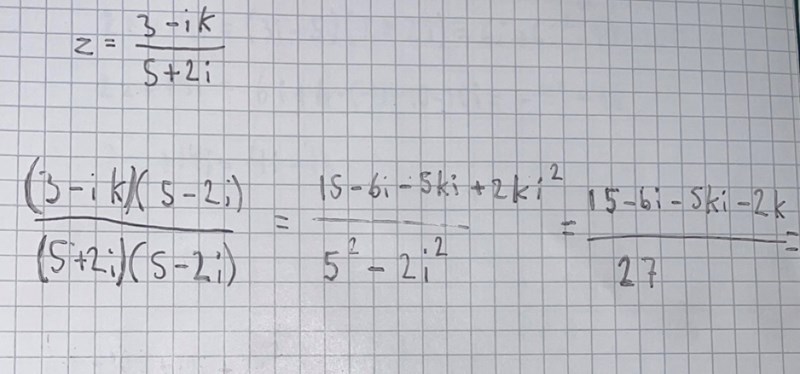
Börja med att multiplicera täljare och nämnare med (5-2i).
Det här har jag fått fram såhär långt. Ska jag försöka dela upp täljaren i reel o imaginärdel o sen sätta imaginärdel=0?
Ja, gör det.
Räkna om nämnaren; 27 stämmer inte.
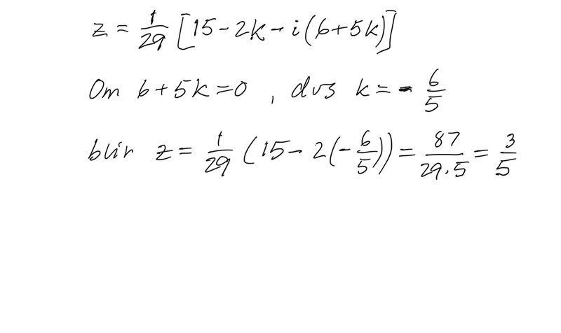
Blir29 såg jag, men hur kan jag skriva om täljaren för att dela upp det? Är det bara 15 som är den reela delen?
Tack för hjälpen! Men hur kan inte i tillhöra den imaginära delen av talet när du delar upp den och sätter (6+5k)
Imaginärdelen är det reella tal som man multiplicerar i med.
Okej, så jag bryter helt enkelt ut i, och termen de multiplicerad med är imaginärdelen?
