Hej och välkommen till Pluggakuten!
Du kan göra på ett par olika sätt.
Det enklaste kanske är att förkorta bråket med 5x och sedan se vad som händer då x går mot oändligheten.
Eller vänta lite nu, jag tänkte fel.
Det blir väl 0, oberoende av värdet på a?
Ska det kanske stå 5x i täljaren?
Laguna skrev:Det blir väl 0, oberoende av värdet på a?
Ska det kanske stå 5x i täljaren?
Ja, juste det ska vara 5x i täljaren
Marko skrev:
Ja, juste det ska vara 5x i täljaren
Bra, då gäller mitt första tips (det jag strök över i första svaret), dvs förkorta bråket med 5x och se vad som händer då x går mot oändligheten.
Yngve skrev:Marko skrev:Ja, juste det ska vara 5x i täljaren
Bra, då gäller mitt första tips (det jag strök över i första svaret), dvs förkorta bråket med 5x och se vad som händer då x går mot oändligheten.
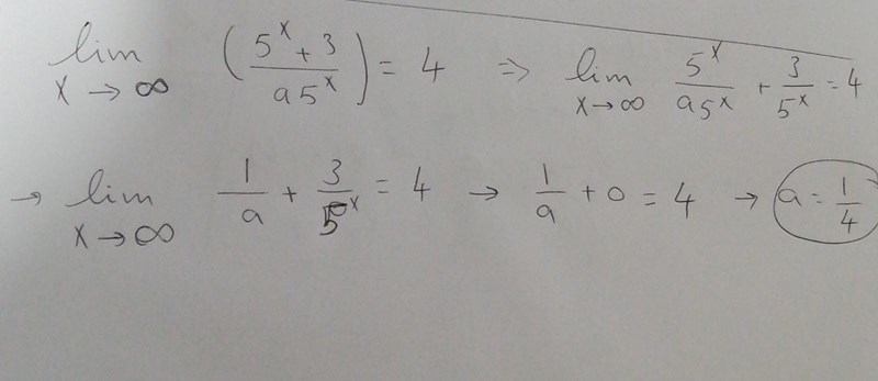
Jag fick så här:

Jag tror att det är rätt svar.
Tack för hjälpen :)
Det är rätt tänkt, men du har missat faktorn a i andra termens nämnare.
