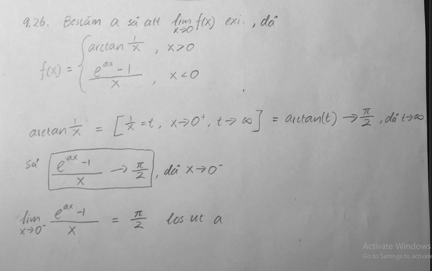
Bestäm konstanten a så att gränsvärde existerar Upp_9.26 a) b)


Jag behöver hjälp med både uppgifter a) och b). Men börjar gärna med a).
I uppgiften a) så har ja gjort så här: räknat ut gränsvärde av arctan(1/x) för där finns ingen obekant variabel förutom x och fick pi/2.
För att gränsvärde ska existeras då måste den vara samma från båda sidor. Det betyder den andra uttryck då x är mindre är 0, det gränsvärde måste också bli pi/2 när x går emot 0 från vänstersidan.
Där bli ja fastnat jag kan inte räknat ut gränsvärde
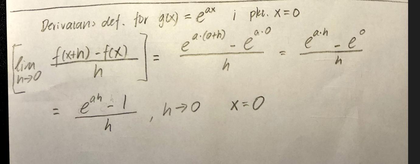
Kan du skriva upp definitionen på derivata för funktionen g(x) = eax i punkten x=0?
Här ser du samma gränsvärde men med h i stället för x. Derivera g(x) och sätt in x=0 så får du alltså ditt sökta gränsvärde. Sedan gäller det att försöka ”sy” ihop f(x).
Tomten skrev:Här ser du samma gränsvärde men med h i stället för x. Derivera g(x) och sätt in x=0 så får du alltså ditt sökta gränsvärde. Sedan gäller det att försöka ”sy” ihop f(x).
Spelar det någon roll om x går emot ??
Om inte så här fick ja:

så därför är .
I fortsättning så behöver också hjälp med b): "Hur man kan utvidga funktionen så att f blir kontin. i R?"
Jag har absolut ingen aning hur man ska göra.
1. Vägen mot 0 spelar ingen roll här, eftersom vi vet att en e-fkn är deriverbar. Hoppas att du genom denna uppgift upptäckt hur man i vissa situationer kan använda definitionen av derivata.
2. Vi backar tillbaka till den ursprungliga uppgiften och hur f är definierad. Är f kontinuerlig överallt där den är definierad? Fattas någon åt i Df?
Tomten skrev:2. Vi backar tillbaka till den ursprungliga uppgiften och hur f är definierad. Är f kontinuerlig överallt där den är definierad? Fattas någon åt i Df?
Är det 0? Både uttrycket är odefinierat via definitionsmängd 0.
Ja, det är den enda punkten som saknas. Finns det något värde på a sådant att gränsvärdena för de båda funktionerna blir samma tal, när x går mot 0?
Är det inte vad vi har löst i a) det är pi/2 eller hur?
Så när vi sätter a till pi/2 då är funktionen kontinuerligt i hela R?
Stämmer.
Summering:
För att funktionen f ska vara kontinuerligt i hela R dvs. Df=R. Sätter vi konstanten a till pi/2.
Bra sammanfattat.
