5
svar
342
visningar
Bestäm konstanterna C och b


Hej. Jag behöver hjälp på uppgift 2313. Jag vet att jag behöver tillämpa någon logaritmlag, vilken vet jag dock inte.
Jag skulle logaritmera både uttrycket och de olika funktionerna som följer.
c kan man förenkla lite först.
Laguna skrev:Jag skulle logaritmera både uttrycket och de olika funktionerna som följer.
c kan man förenkla lite först.
Jo, jag förstår inte det med att logaritmera.
Du får använda flera logaritmlagar. T.ex.
.
.
Laguna skrev:Du får använda flera logaritmlagar. T.ex.
.
.

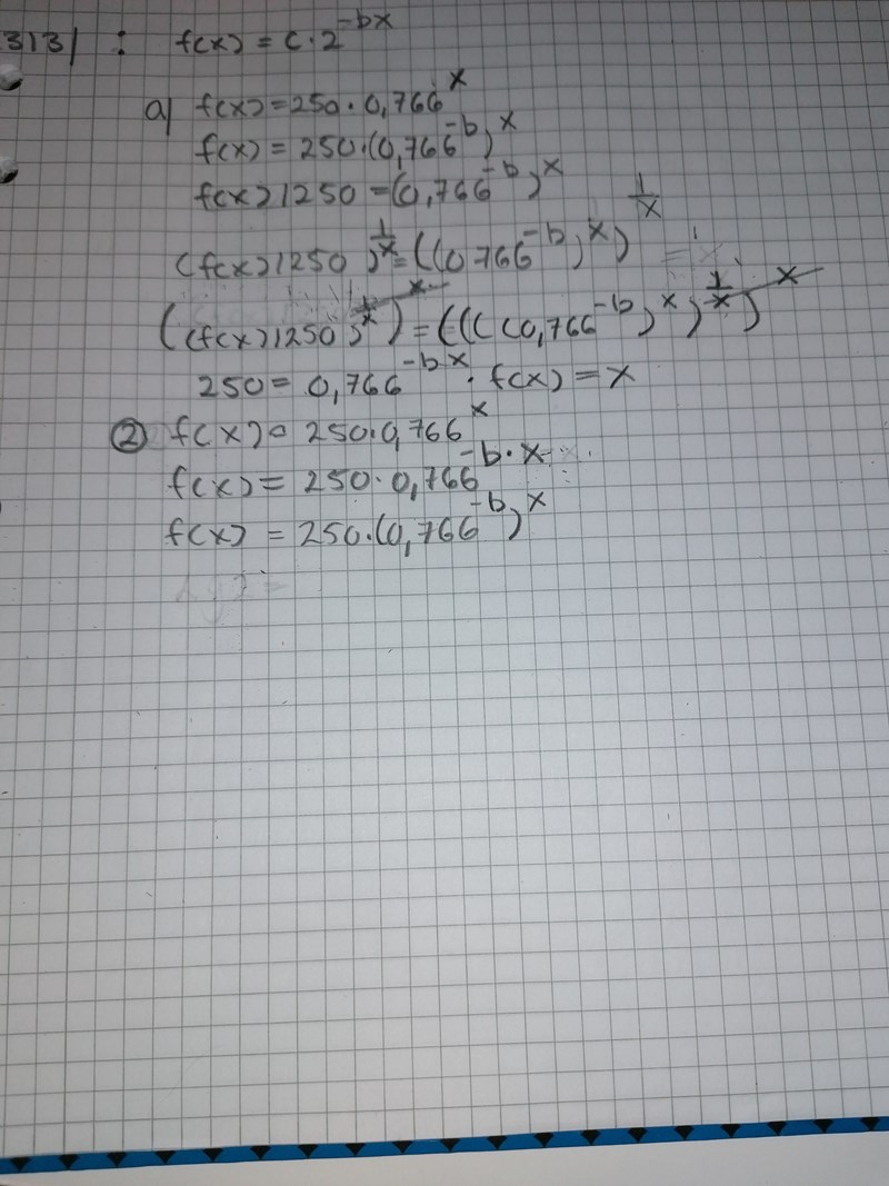
Hej! Med dina angivna lagar har jag kommit till detta. Nu blir jag osäker vad jag ska göra. Jag tror att c=250-bx
Nej, c skall vara en konstant. Om c=250-bx så får c olika värde beroende på vad b och x har för värden.