Bestäm konstanterna
Hej!
Frågan lyder:
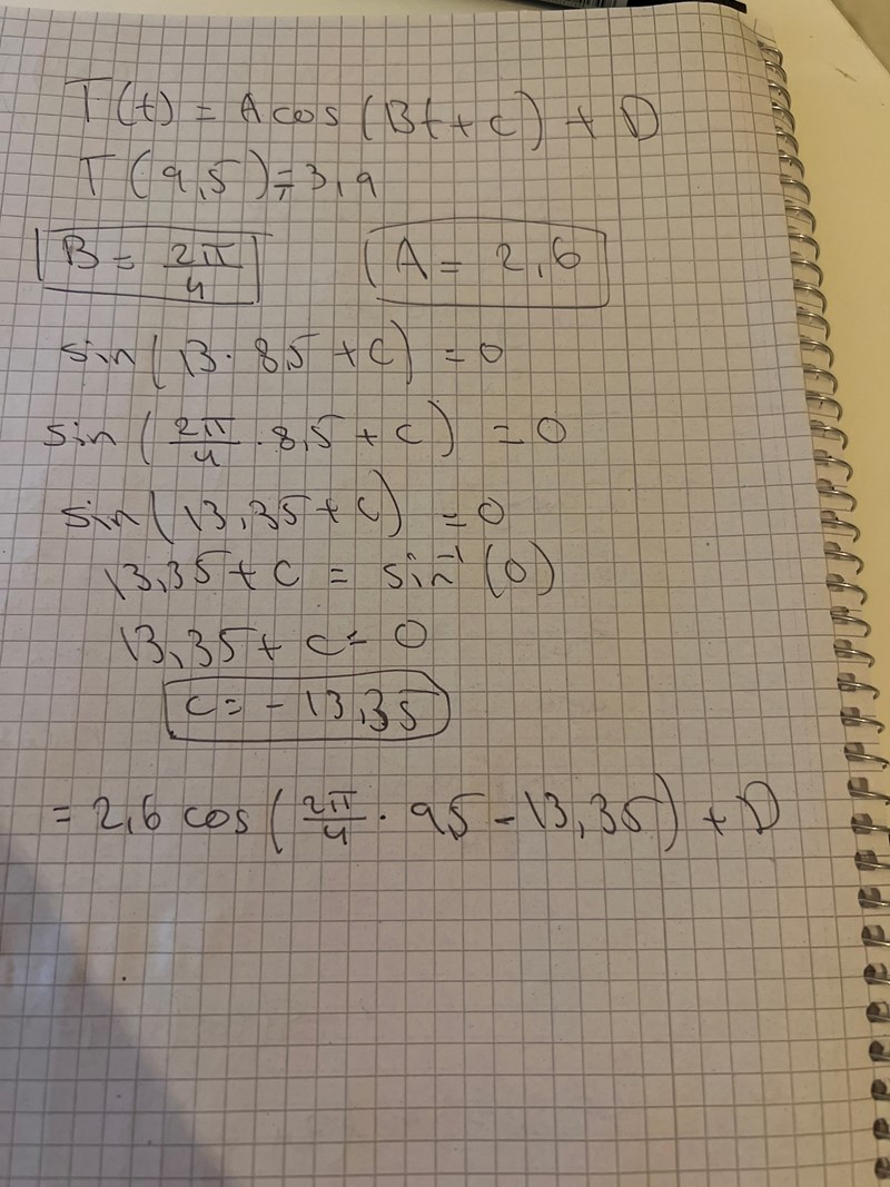
Följande graf beskriver temmperaturen och tiden för funktionen T(t)= A cos (Bt+c)+D. När klockan är 08:30 är temperaturen vid maximal men en timme senare sjunker den ner 3,9°. T är temperaturen och t är tiden. Bestäm konstanterna A B C och D.
Jag har gjort såhär, jag tror att mitt c är fel och vet inte hur jag ska lösa D, känns som att något inte stämmer men vet inte vad?
Tack för all hjälp!

Använd att för alla .
Darth Vader skrev:Använd att för alla .
Vart ska jag använda det tänker du för att räkna ut D eller? är mitt c rätt?
jag glömde även att ha med att grafen ser ut såhär.

Jag var lite otydlig även med att jag tog derivatan så att T'(8,5)=0
Jag fortsätter att få c=-13,35 hela tiden, vart gör jag fel? snälla hjälp!!
Hej!
Jag har fortfarande inte löst denna uppgift om någon har lust och hjälpa :)
tacktack!
Kan du lägga in en bild på grafen som den ser ut i uppgiften, eller förtydliga bilden som du la in i inlägg 4
Ture skrev:Kan du lägga in en bild på grafen som den ser ut i uppgiften, eller förtydliga bilden som du la in i inlägg 4
Hmm har inte bild på original uppgiften utan skrev av den på lektionen, men avståndet mellan varje max punkt är 4,0 och avståndet mellan där kurvan börjar och slutar är 5,2, det är tyvärr allt jag har och gå efter :(