Bestäm konstanterna
Hej!
Jag håller på med denna uppgift som du kan se nedan. Jag har hitills kommit fram till vad d är (se bilden nedan) men inte resten. Jag har testat mig fram men fått fel svar och skulle därför uppskatta hjälp!
Tack på förhand!


Du har 3 nollställen, dom kan du utnyttja, vet du hur?
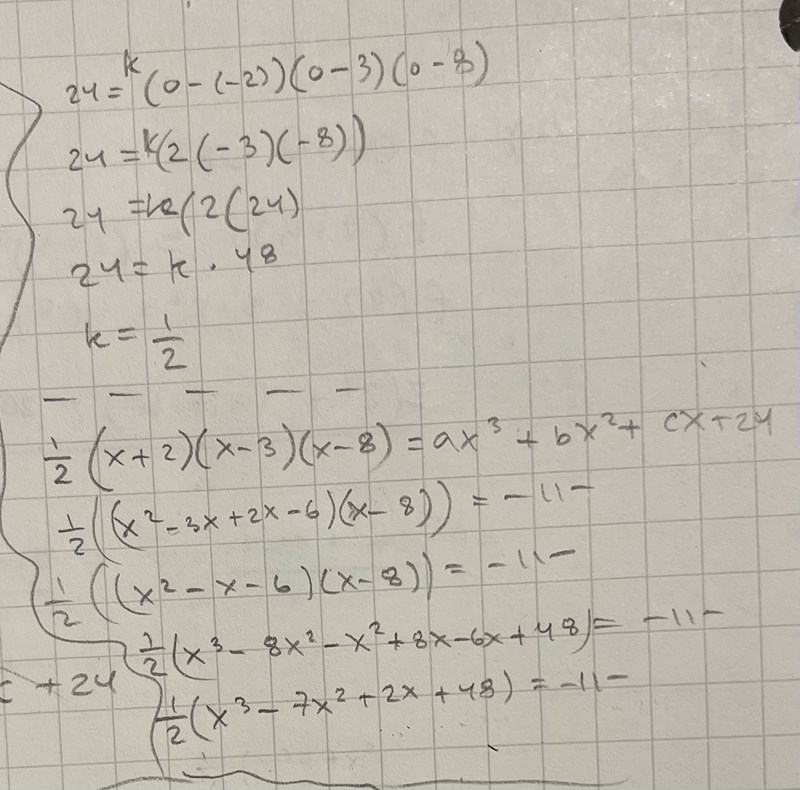
Jo jag anade att jag kan uttnytja dem, men jag vet inte riktigt hur. Jag testade mig fram men det gick inte så bra. Jag kan skicka hur jag försökte använda nollställena (men jag skrev rätt så slarvigt och otydligt för mig själv så vet inte hur mycket man förstår men skickar bild ändå).

Det finns några olika sätt att angripa problemet, ett är att sätta in de olika x-värdena och få tre ekvationer med tre obekanta, som du gjorde.
Ett annat sätt:
Ett polynom kan skrivas som k(x-x1)(x-x2)(x-x3)... där x1, x2, osv är polynomets nollställan
i ditt fall: k(x+2)(x-3)(x-8) = ax3+bx2+cx+24
Utveckla vänsterledet och identifiera konstanterna.
Okej, jag har försökt göra som du sa och kommit så här långt hitills (är ej klar). Är jag på rätt spår? Tänker jag rätt?

Jag har inte kontrollräknat, men om siffrorna stämmer är du så gott som klar.
Vadfår du a, b, c och d till?
Ture skrev:Jag har inte kontrollräknat, men om siffrorna stämmer är du så gott som klar.
Vadfår du a, b, c och d till?

Facit fick dock:
a = 2
b = 1
c = 3
d = 24
Så jag måste ha gjort fel nånstans…Men hittar inte vart
Jag får,
a = 0,5
b = - 4,5
c = 1
D = 24
Jag fick samma svar som dig på allt förutom b som jag fick -3,5 istället för -4. Men som sagt, facit säger ju något annat än vad både du och jag har fått fram…Varför då?
Pröva facits svar, (och mitt) genom att sätta in konstanterna i polynomet och beräkna vördet för x = 3 exvis. Blir det 0?
Mitt tips är att facit har fel.
Okej, men vad gjorde jag för fel då i och med att jag fick att b = -3,5 och inte -4 som du fick?
Jag har bara följt tråden översiktligt. Men jag matade in funktionerna i GeoGebra.
Ture (grönt) verkar räknat rätt. Karisma (blått) har nog gjort något slarvfel.
Facit (rött) är uppåt väggarna.

Kan ni hjälpa mig hitta vart jag har gjort slarvfelet? Jag har sökt igenom min uträkning flera gånger nu…
Tack!!
