11 svar
173 visningar

Bestäm konstanterna för att satisfiera differentialekvation

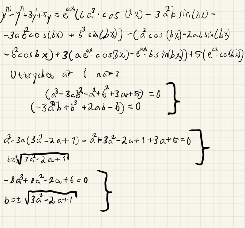
Uppgift b gäller det. Mitt försök att lösa den:

Har jag gjort fel eller kan jag gå vidare? Vad har jag gjort fel? Hur går jag vidare? Tack på förhand

Dr. G Online 9658
Postad: 19 maj 2020 20:42

En variant:

Ansätt 

y=erxy= e^{rx}

(där i ditt fall r=a+ibr = a+ib (eller r=a-ibr=a-ib, vilket som).)

Den första ger då karaktäristisk ekvation

r2+2r+3=0r^2+2r+3=0

så r = ...

Laguna 32192
Postad: 19 maj 2020 21:07

I den andra a-b-ekvationen du får kan du bryta ut b. Av det du får kvar kan du uttrycka b2b^2 i a, och sätta in i den första ekvationen. 

Det var väl det jag gjorde laguna?

Vet inte vad du menar dr.G

Dr. G Online 9658
Postad: 19 maj 2020 23:02

Lösningarna till den karaktäristiska ekvationen i a) är

r=-1±i2r = -1\pm i\sqrt{2}

vilket ger a = -1 och b = √2.

Resonemanget bygger på att en linjär diffekvation med konstanta koefficienter har lösningar på formen

y(x)=Cerxy(x)=Ce^{rx}

där r är en komplex konstant (C likaså).

Kan inte något om det Dr.G. Finns det ingen enklare lösning?

Smaragdalena 78892 – Avstängd
Postad: 20 maj 2020 09:57

Alternativet är att derivera den givna funktionen 3 ggr, sätta in funktionen och derivatorna i diffekvationen och identifiera konstanterna. Inte så enkelt, det heller, men det är vad det står i uppgiften att du skall göra.

Det är det jag har gjort Smaragdalena. Vad har jag gjort fel?

Smaragdalena 78892 – Avstängd
Postad: 20 maj 2020 10:23

Oj, det stämmer, det var det du gjorde från början - jag gled förbi det direkt er till Dr.G:s alternativa svar.

Laguna 32192
Postad: 20 maj 2020 13:22 Redigerad: 20 maj 2020 13:33
Dualitetsförhållandet skrev:

Det var väl det jag gjorde laguna?

Ja, det var det ju. Jag såg bara ett rottecken och tänkte att det var fel väg.

I så fall undrar jag om det inte är nåt slarvfel nånstans, för så fula brukar inte svaren vara.

Edit: jo, så är det. I din första klammer har du korrekt +3a i första ekvationen, men där det står -b i den andra ska det stå -3b, av samma anledning (det kommer från -3y').

Då blir allt roligare.

Tack Laguna då kom jag fram till att en av lösningarna var a=1 och b=+-2 

Tydligen ska det finnas en till lösning där a=0 och b=-1. Varför kommer jag inte fram till den lösningen? Tack på förhand.

Svara
Close