Bestäm koordinaterna
Jag förstår inte hur man ska börja. (Alls)
Du skall absolut börja (som alltid) med att rita (en grov skiss av) kurvan och sen bestämma minimipunkten - kanske klarnar fortsättningen då när du har en bild av läget.
Bra tips från matsC.
Det som är bra är att din skiss behöver inte ens vara vare sig skalenlig eller korrekt.
Den fungerar ändå utmärkt som tankestöd för att du ska kunna se de samband som måste gälla.
Jag har svårt att se ett sambandJag förstår hit men det är sista steget att hitta tangentens lutning. 
Bra skiss.
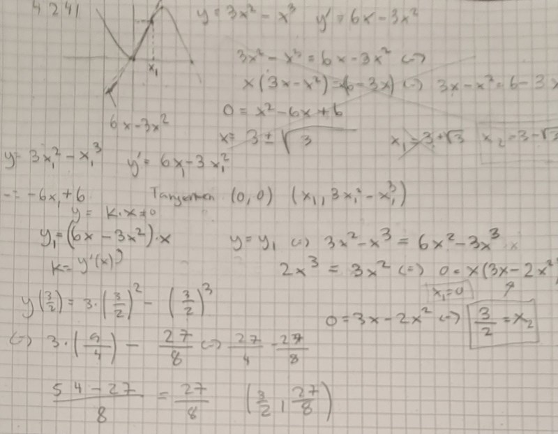
Du har alltså en tredjegradskurva som går genom origo (där det mycket riktigt är en lokal minimipunkt).
Du har ritat en rät linje y = kx som går genom minimipunkten och som tangerar tredjegradskurvan på ett annat ställe. Det ser bra ut.
Om x-koordinaten för denna tangeringspunkt är x1 så gäller att y-koordinaten är 3x12-x13, eller hur?

Du vet även att denna tangent har lutningen 6x1-3x12, eller hur?
Sedan finns det ytterligare ett samband som rör tangenten. Kan du kan hitta det?
Nu efter ett tag. Jag glömde bort att första dervivatan var lutningen. Tack för all hjälp riktig kung💪🏼
