2
svar
70
visningar
dey98 behöver inte mer hjälp
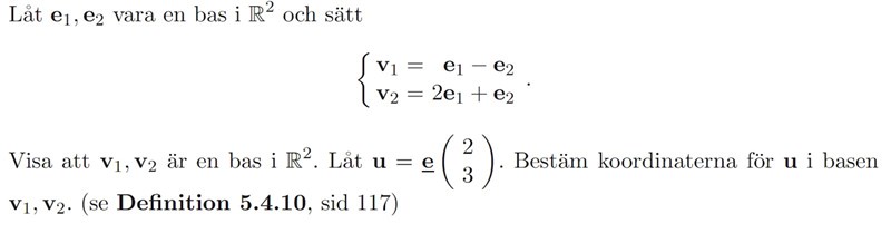
Bestäm koordinaterna för u i basen v1 och v2

Jag har redan visat att v1 och v2 är en bas i R2. Men behöver hjälp med den andra biten, alltså att bestämma koordinaterna för u i basen v1 och v2.
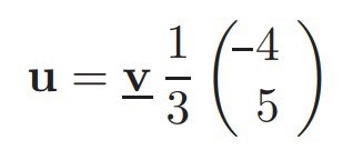
Svaret är: 
Undrar om fu kan trsta som tidigare:
u= av1 + bv2
a o b är koordinaterna? Eller tänker jag fel?
Det stämmer bra, det funkade. Tack så mycket!