Bestäm kurvans ekvation av typen A cos(kx + v) + B.
Hej!
Jag behöver hjälp med denna fråga:

Jag kunde komma så långt men är inte säker hur jag ska ta reda på k och v?
Det är lite svårt att avläsa grafen exakt.
.jpg?width=800&upscale=false)
Är inte perioden 4? k = 1/2.
Du vet tex att funktionen är noll då x = 3. Du kan utnyttja det för att räkna ut v.
PATENTERAMERA skrev:Är inte perioden 4? k = 1/2.
Du vet tex att funktionen är noll då x = 3. Du kan utnyttja det för att räkna ut v.
Okej, tack för ditt svar!
Men hur avläser vi att perioden är 4π?
Om man tittar på vid vilket värde som kurvan skär x-axeln samtidigt som den är avtagande så har vi i så fall två punkter, som avslöjar hur lång perioden är.
De två x-värdena tycks vara vid 2/6 pi och vid 4 pi + 2/6 pi. Detta bör ge en period på 4 pi.
För att få fram k-värdet: om k är 1 så är perioden 2 pi, eftersom 2 pi motsvarar ett varv på enhetscirkeln.
Om k är 2 så behöver x-värdet bara ökas till hälften så mycket för att vi skall nå ett helt varv, så perioden blir pi.
På motsvarande vis bör k=0,5 ge en period på 4 pi, vilket var det som efterfrågades.
Så k bör vara 0,5.
Jag ser att du räknat ut det genom att dividera en periodlängd för k=1 med 3 pi, vilket jag antar är vad du fått en period till att bli i den givna grafen. Och det är så man kan räkna ut det, inser jag nu efter att ha tänkt, om en period är 3 pi. Var fick du 3 pi i från?
Bedinsis skrev:Om man tittar på vid vilket värde som kurvan sker x-axeln samtidigt som den är avtagande så har vi i så fall två punkter, som avslöjar hur lång perioden är.
De två x-värdena tycks vara vid 2/6 pi och vid 4 pi + 2/6 pi. Detta bör ge en period på 4 pi.
För att få fram k-värdet: om k är 1 så är perioden 2 pi, eftersom 2 pi motsvarar ett varv på enhetscirkeln.
Om k är 2 så behöver x-värdet bara ökas till hälften så mycket för att vi skall nå ett helt varv, så perioden blir pi.
På motsvarande vis bör k=0,5 ge en period på 4 pi, vilket var det som efterfrågades.
Så k bör vara 0,5.
Jag ser att du räknat ut det genom att dividera en periodlängd för k=1 med 3 pi, vilket jag antar är vad du fått en period till att bli i den givna grafen. Och det är så man kan räkna ut det, inser jag nu efter att ha tänkt, om en period är 3 pi. Var fick du 3 pi i från?
Okej, jag förstår nu hur ni har tänkt. Tack för ditt svar!
Jag har dragit en rätt linje som presenterar Förskjutningen B = -1 och försökte läsa på den när kurvan har gjort en halv varv för att bestämma perioden och då läste jag värdet till 3π. Men tror jag har tänkt fel.
Kan du snälla förklara mer vad du menade med "Om man tittar på vid vilket värde som kurvan sker x-axeln samtidigt som den är avtagande så har vi i så fall två punkter, som avslöjar hur lång perioden är." ?
Det skall vara "den punkt där kurvan skär (d v s korsar) x-axeln", inte "sker" = händer, inträffar.
Smaragdalena skrev:Det skall vara "den punkt där kurvan skär (d v s korsar) x-axeln", inte "sker" = händer, inträffar.
Okej, tack så mycket!
Går det att räkna v på det sättet jag tänkte mig?
PATENTERAMERA skrev:
Toppen, Tack så mycket för ditt svar!
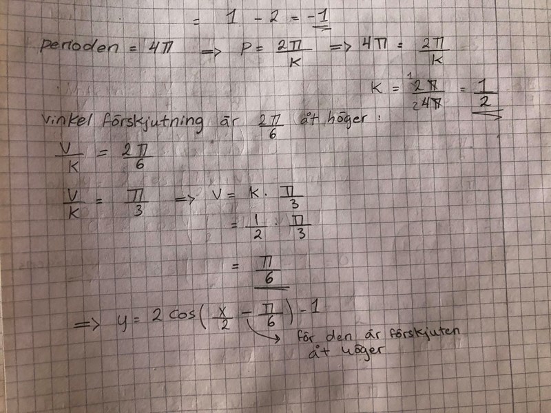
Jag fortsatt och räknade vinkeln v på så sätt: .jpg?width=800&upscale=false)
Gjorde jag rätt?
Du kan dubbelkolla själv. Du vet att y skall vara noll då x = 3.
Tack för hjälpen!
