Bestäm kurvans lutning!
Hej!
Jag har försökt vrida och vända på den här uppgiften men får ändå fel svar. Dock så har jag fått rätt i nämnaren men inte i tälgaren.
såhär lyder frågan:
Bestäm kurvans lutning (xy + x^2y^3 = 6) i punkten
(x , y) = (2 , 1).

Notera att jag glömde att lägga till ett minus-tecken i mitt svar (1÷14).
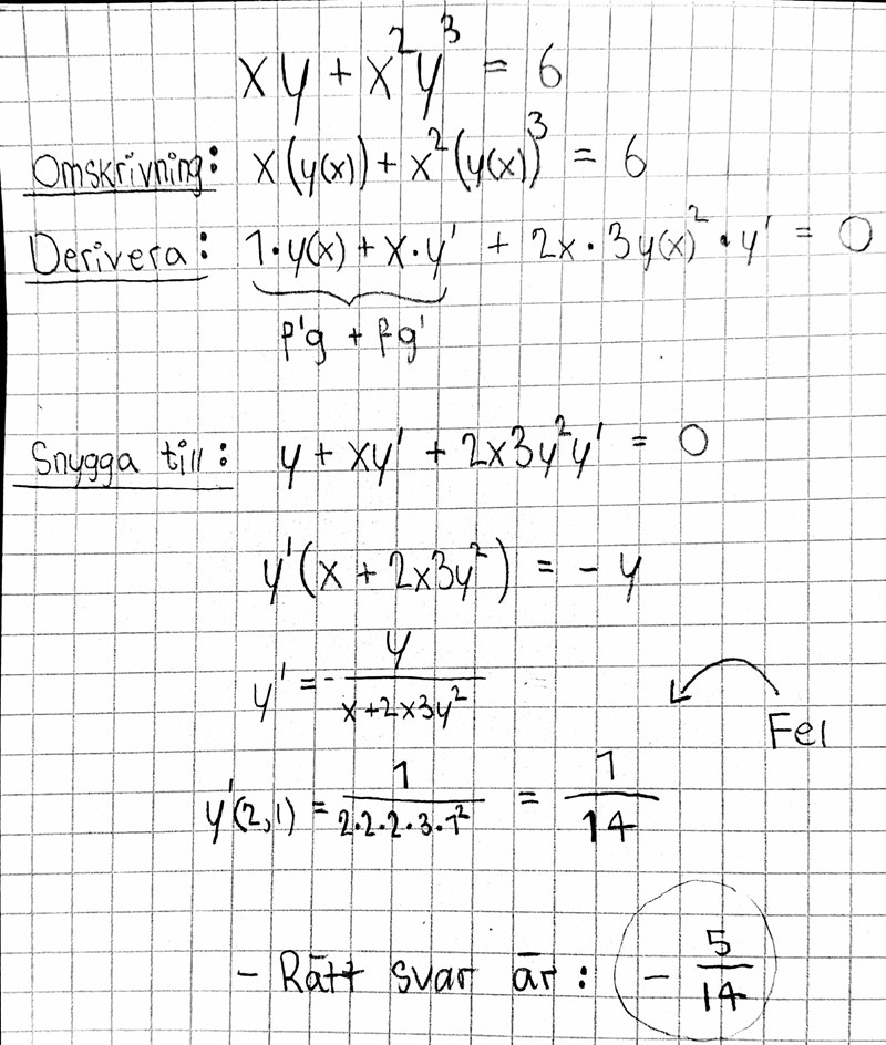
Hmmsson skrev :Hej!
Jag har försökt vrida och vända på den här uppgiften men får ändå fel svar. Dock så har jag fått rätt i nämnaren men inte i tälgaren.
såhär lyder frågan:
Bestäm kurvans lutning (xy + x^2y^3 = 6) i punkten
(x , y) = (2 , 1).
Du har missat att du måste använda produktregeln även när du deriverar termen
Yngve skrev :Hmmsson skrev :Hej!
Jag har försökt vrida och vända på den här uppgiften men får ändå fel svar. Dock så har jag fått rätt i nämnaren men inte i tälgaren.
såhär lyder frågan:
Bestäm kurvans lutning (xy + x^2y^3 = 6) i punkten
(x , y) = (2 , 1).
Du har missat att du måste använda produktregeln även när du deriverar termen
Tack nu fick jag rätt svar!!
Hej!
Med Produktregeln blir derivatan
och tillsammans med Kedjeregeln får man derivatan
I punkten blir dessa två derivator respektive
så att kurvans derivata i denna punkt uppfyller ekvationen
vilket är samma sak som
Albiki