2
svar
123
visningar
M (a) * x behöver inte mer hjälp
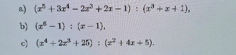
Bestäm kvot och rest vid följande polynomdivisioner
hur gör man detta?
Hur man utför polynomdivision kräver en längre förklaring som din lärobok borde göra bättre än vad vi lyckas få ihop här. Testa den och återkom om du stöter på några problem.👍
Det här är inte det effektivaste sättet, men jag tycker det visar vad som händer i varje steg. Du vill bryta ut din nämnare ur den termen med högst grad (den första om de står i ordning), så du sen kan dividera en del av uttrycket. Tricket är att lägga till det du behöver ha i parentesen, och sen efter dra bort lika mycket, samma princip som i kvadratkomplettering. Jag gjorde tre exempel, se om du kan följa med. 

