5 svar
93 visningar
destiny99 behöver inte mer hjälp
destiny99 11447
Postad: 28 sep 2023 21:52 Redigerad: 28 sep 2023 21:53

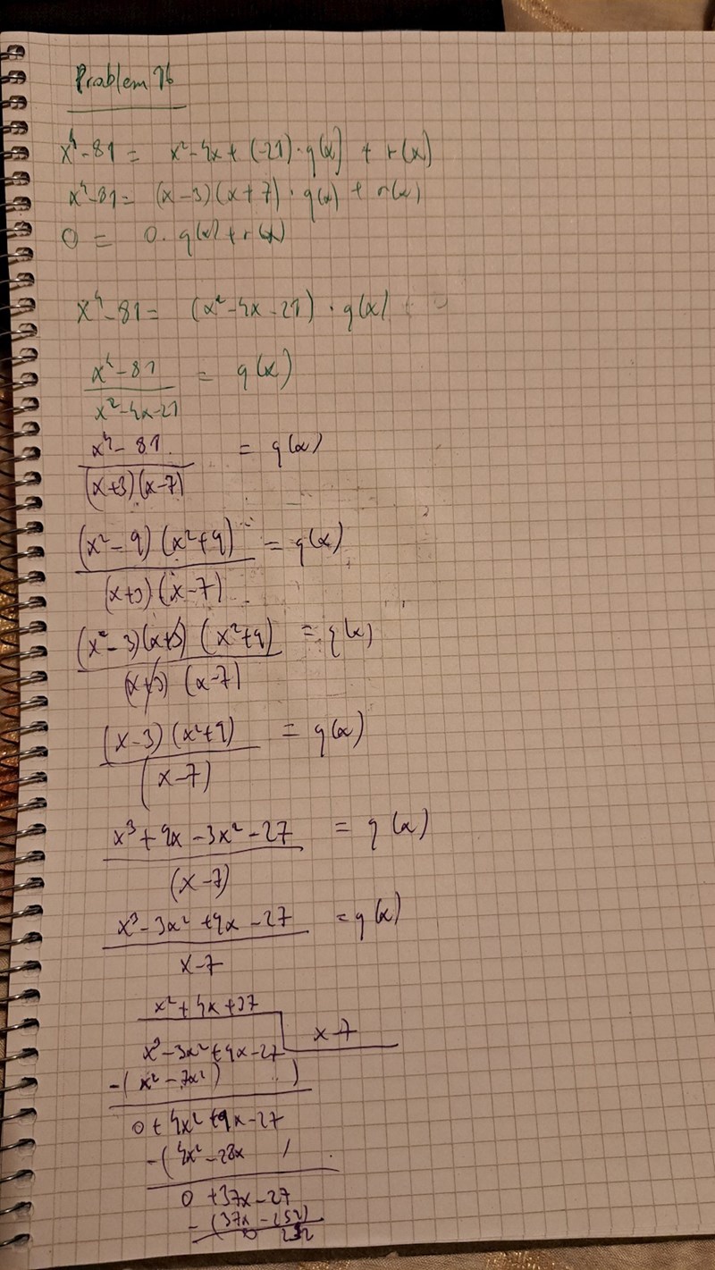
Bestäm kvoten och resten

hej!

Vad gör jag för fel i mina lösningar?

Bubo 8076
Postad: 28 sep 2023 22:04

Plus 3 och minus 7. Du skrev tvärtom.

destiny99 11447
Postad: 28 sep 2023 22:51
Bubo skrev:

Plus 3 och minus 7. Du skrev tvärtom.

Rättade till det. Men problemet är detsamma fortfarande..

Bubo 8076
Postad: 28 sep 2023 23:11

Var är r(x)? Det ser ut som om du sätter r(x) till noll i början.

destiny99 11447
Postad: 28 sep 2023 23:17 Redigerad: 28 sep 2023 23:23
Bubo skrev:

Var är r(x)? Det ser ut som om du sätter r(x) till noll i början.

ja r(x)=0 eftersom en av faktorerna i q(x) blir 0 tex x=7 eller x=-3  

Annars kommer vi ha en sån uttryck:

x^4-81/(x^2-4x-21)=q(x)+r(x)/(x^2-4x-21)

destiny99 11447
Postad: 29 sep 2023 09:00

Nu får jag detta. Varför är det ej rätt att svara den kvoten och resten? Systemet verkar säga att jag har fel.

Svara
Close