2
svar
100
visningar
Bestäm linjens ekvation y=kx+m

För att betämma K-värdet gjorde jag:
, jag använde (10, 4) och (35, 12) ty dessa var tydliga punkter.
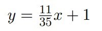
Facit anser att:
![]()
Jag förstår att detta är en liten skillnad, men jag vill inte missa poäng på sådana misstag.
Jag ser inte hur ett annat svar än mitt kan nås då endast dessa två punkter är tydliga, kommer en sådana uppgift alltid avvika lite i svar?
Facit har nog använt punkterna och . Dom har avrundat. Ditt sätt är rätt.
Dock blir m-värdet fel enligt dom punkterna.
Menar du att m-värdet blir fel enligt
Ty genom