Bestäm linjernas ekvationer (svår uppgift)
Två vinkelräta linjer skär varandra. Deras skärningspunkt är (2, 5). Avståndet mellan linjerna skärningspunkter med y-axeln är 5 (längdenheter). Bestäm linjernas ekvationer.
——
Min uträkning:
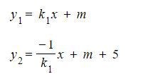
Vi kallar den första funktionen för
y1=k1x+m
och den andra för y2=k2x+m+5
vi vet att k1*k2=-1
Hur kommer jag vidare?
Använd att de går genom (2,5).
Du kan ju börja med att utnyttja att punkten (2,5) ligger på båda linjerna.
Rita!
Så långt lyckas jag komma. Vad blir nästa steg?

Bild 3 :
Jag vet att det blev fel mot slutet då 2*0.5 inte är lika med -1. 
Rita och kolla om det verkar stämma.
Ska väl vara -1/2 i den andra linjens ekvation? Elle -2 i den första?
Du får kanske två linjepar, ett för x1=2 ch ett för x2= 0,5 ?
Rita och se.
Hej!
Du är på rätt väg.
På slutet fick du två olika värden på : 2 och 0,5.
Sätt in ett av k-värdena (2) i ekvationerna för . Då kan du få fram m och de kompletta ekvationerna på formen y = kx+m
Sätt sedan in det andra värdet ( 0,5) i ekvationerna för Då kan du få fram ett annat värde på m och de kompletta ekvationerna på formen y = kx+m
Det finns två lösningar som uppfyller villkoren!
Jag skrev ju att det är fel. Detta beror på att k1=2 och k2=0.5
k1*k2 ska bli -1 inte 1 som det blev ovan
Kolla igen,
x1 = 2 ger k-värdena 2 och -1/2 för linjerna
x1 = 1/2 ger k-värdena 1/2 och -2 för linjerna
Det här blir ett långt inlägg, fråga om något är oklart.
Linjernas ekvationer kan generellt skrivas:
Vi vet ju att . Är du med på det?
I din beräkning kom du fram till att följande gäller när man sätter in skärningspunkten (2, 5) i ekvationerna:
Och du utvecklade det helt korrekt till:![]()
Uttrycket kan utvecklas till en andragradsekvation, och pq-formeln ger två lösningar på : 2 och 0,5. Det kom du också fram till.
Titta på de generella ekvationerna igen:
*) Sätt in = 2 , så ger det:
Om du tittar på i punkten (2, 5), så får du
5 = 2*2 + m ==> 5 = 4 + m ==> m = 1
Detta ger ekvationerna nedan, du ser att , vilket betyder att
Men vi har bara tittat på lösningen när Gå upp till *) igen och gör om beräkningen med . Vilka ekvationer och värde på m får du då?