Bestäm lösning på olikheten
Hejsan
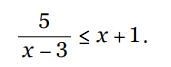
Jag ska bestämma alla reella lösningar till följande olikhet:

Först så tänkte jag att jag ska ta hjälp av liggande stolen. Sen kom jag på att det nog är ett definitionsmängd det är tänkt att jag ska hitta, eftersom att det är en olikhet. Därför kanske en tabell lämpar sig bättre. Det kan man ju skriva om ena sidan är noll och andra sidan består av faktorer, för att ta reda på var hela uttrycket blir större- eller mindre än noll. Jag lyckas däremot inte få VL till att bestå av enbart faktorer när jag flyttar över HL.
Om min förklaring här var lite luddig eller om jag verkar vara ute och cykla så får ni som ser en lösning gärna tipsa mig om hur jag kan tänka ändå.
Som alltid så är jag tacksam för alla svar!
Att göra en teckentabell är en utmärkt idé, men först behöver vi möblera om lite. Vi kan multiplicera båda led med nämnaren i VL, men vi måste då dela upp intervallet, beroende på om nämnaren är positiv eller negativ. Om nämnaren är positiv (om x är större än 3) får vi ekvationen . Vilka lösningar har den? Vad händer om nämnaren är negativ?
Smutstvätt skrev:Att göra en teckentabell är en utmärkt idé, men först behöver vi möblera om lite. Vi kan multiplicera båda led med nämnaren i VL, men vi måste då dela upp intervallet, beroende på om nämnaren är positiv eller negativ. Om nämnaren är positiv (om x är större än 3) får vi ekvationen . Vilka lösningar har den? Vad händer om nämnaren är negativ?
Eftersom att vi inte vet om nämnaren är positiv eller negativ så kan vi inte multiplicera båda led med nämnaren. Om nämnaren är negativ måste olikhetstecknet vändas. Tyvärr så riskerar det att ge ett felaktigt svar
Du tänker rätt, men du kommer till fel slutsats. Vi kan multiplicera båda led med nämnaren, men vi måste dela upp intervallet, så att vi vänder på olikheten vid rätt tillfälle. Om är nämnaren positiv, och vi får olikheten . Om är nämnaren negativ, och vi får olikheten .
Båda dessa olikheter kan lösas på sedvanligt sätt. :)
Smutstvätt skrev:Du tänker rätt, men du kommer till fel slutsats. Vi kan multiplicera båda led med nämnaren, men vi måste dela upp intervallet, så att vi vänder på olikheten vid rätt tillfälle. Om är nämnaren positiv, och vi får olikheten . Om är nämnaren negativ, och vi får olikheten .
Båda dessa olikheter kan lösas på sedvanligt sätt. :)
Tusen tack!
Varsågod! :)