5 svar
103 visningar
Bayan Ali 1122 – Fd. Medlem
Postad: 24 mar 2022 15:21

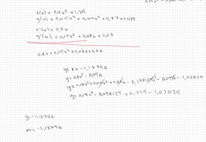
Bestäm lutningen

Kommer inte vidare efter detta

Yngve Online 42661
Postad: 25 mar 2022 07:45

Du har skrivit av g(x) fel, så din g'(x) stämmer inte.

Om du löser ekvationen f'(x) = g'(x) så får du fram x-koordinaterna på de punkter där f(x) och g(x) har samma lutning.

Ta reda på vilken/vilka av dessa punkter som uppfyller villkoren att vara skärningspunkt och att x \leq 0.

Då kan du bestämma punktens y-koordinat ich slutligen värdet på k.

Bayan Ali 1122 – Fd. Medlem
Postad: 25 mar 2022 08:03
Yngve skrev:

Ta reda på vilken/vilka av dessa punkter som uppfyller villkoren att vara skärningspunkt och att x \leq 0.

Då kan du bestämma punktens y-koordinat ich slutligen värdet på k.

Jag fattar inte riktigt vad du menar här, ska jag sätta in x-värdena som jag fick i y=kx-1,1875k funktionen?

Yngve Online 42661
Postad: 25 mar 2022 08:33

Det ska vara ett minustecken här:

Derivera funktionerna och lös sedan andragradsekvationen f'(x) = g'(x).

Visa din uträkning.

Är du med på att lösningarna till den ekvationen utgör x-koordinaterna för de punkter där f(x) och g(x) har samma lutning?

Bayan Ali 1122 – Fd. Medlem
Postad: 25 mar 2022 08:58

jag får x=5,8 och -1

Yngve Online 42661
Postad: 25 mar 2022 11:41

Ja det stämmer.

Kan du beskriva vad dessa x-värden betyder, dvs vad som.är speciellt med dem?

Svara
Close