Bestäm matris A för T
Hej
Jag försökte lösa a) genom att använda standard baserna med hjälp av projektetion formeln och fick A ( 1/2 1/2 0 1/2) men facit håller ej med

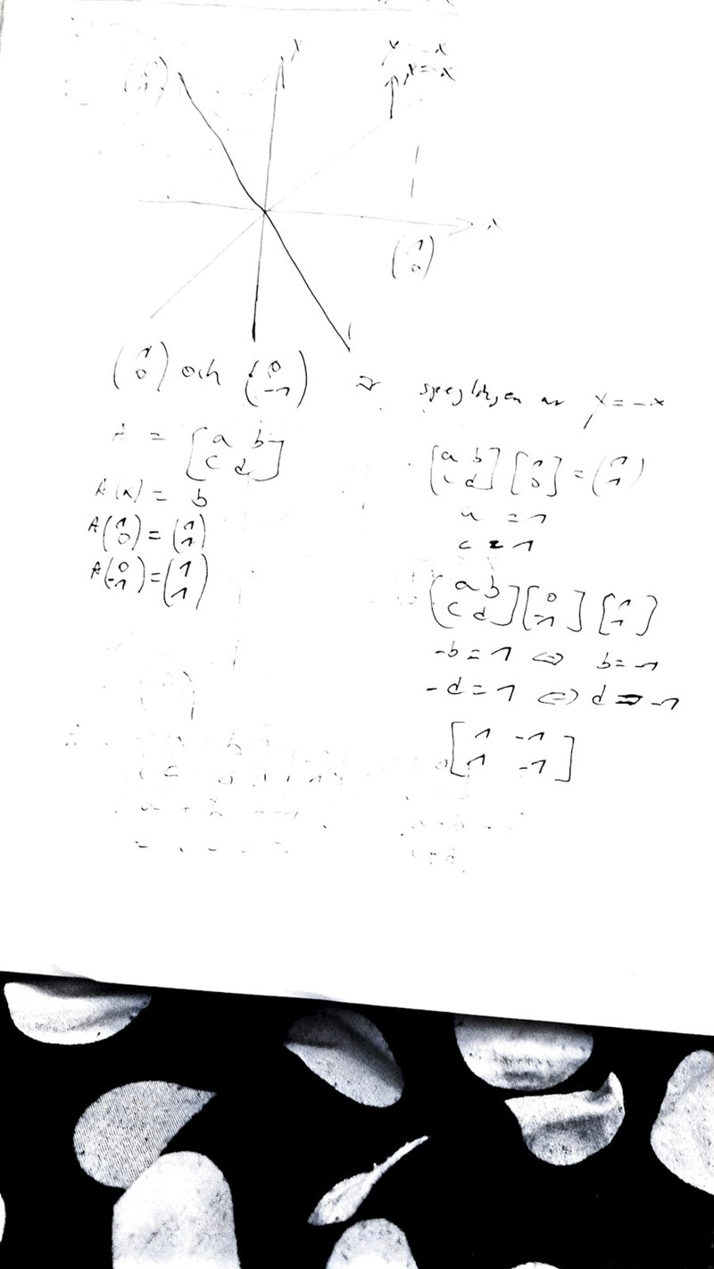
(1 , 0) avbildas på (0, –1).
(0 , 1) avbildas på (–1, 0)
Ursäkta, det ska vara kolumnvektorer
Enligt wikipedia: transformation för reflektion i l=(lx,ly), i detta fall (1,-1)
1/||l||^2 * | lx^2-ly^2 2lxly |
| 2lxly ly^2-lx^2 |
Diagonalen borde alltså vara 0:or:
0 -1
-1 0
verkar detta stämma? (1,1) transformeras korrekt.
Analys skrev:Enligt wikipedia: transformation för reflektion i l=(lx,ly), i detta fall (1,-1)
1/||l||^2 * | lx^2-ly^2 2lxly |
| 2lxly ly^2-lx^2 |
Diagonalen borde alltså vara 0:or:
0 -1
-1 0
verkar detta stämma? (1,1) transformeras korrekt.
Förstår ej riktigt.. vi söker matris A väl? Förstår bara ej vad denna avbildning har o göra med linjen.
Matrisen är alltså:
A=| 0 -1 |
|-1 0 |
Just dessa repr spegling i y=-x.
Analys skrev:Matrisen är alltså:
A=| 0 -1 |
|-1 0 |Just dessa repr spegling i y=-x.
Så den här uppgiften handlade om speglingen y=-x typ vilka baser vi får ? Vill gärna förstå varför du fick som du fick... Varför kan man ej tänka att vi har T(1 1) = [1 0] och sen T( 1 1 ) = 0 1 och sen skapa en matris A för det som man gjorde i en uppgift jag la upp på pluggakuten förut?
Tyvärr inte helt familjär med lösningsmetodiken du nämner, ett tag sen jag studerade detta. Helt klart är dock att matrisen A ovan speglar i y=-x. Detta betyder att punktens x och y-värde byts samt att de ändrar tecken. Rita gärna på rutpapper och kolla.
Ger kanske Mogens svar om kolumnvektorer det du vill ha?
Analys skrev:Tyvärr inte helt familjär med lösningsmetodiken du nämner, ett tag sen jag studerade detta. Helt klart är dock att matrisen A ovan speglar i y=-x. Detta betyder att punktens x och y-värde byts samt att de ändrar tecken. Rita gärna på rutpapper och kolla.
Ger kanske Mogens svar om kolumnvektorer det du vill ha?
Jag ritade faktiskt men får ej riktigt ihop detta. Första bilden är y =-x för standardbaserna [1 0 ]och [0 1] medan andra bilden samma sak fast då är det [ 1 0] och [ 0 -1]

Analys skrev:
Varför ritar du på varandra ? Eller är det någon skillnad om man ritar dem separat som jag gjorde ? Nu gjorde jag så för att jag ville förstå vad en spegling för y=-x blir för standardbaserna och sen även för y=x
Punkten A (1,3) speglas i punkten B(-3,-1). Med linjen ville jag bara visa att de är vinkelräta vs y=-x.
Jag har nog svårt att hjälpa dig, känner inte till/kommer inte ihåg lösningsmetodiken. Men tror att Mogens ovan ger dig svar som du önskar.
Okej jag har försökt lösa den på det här sättet,men morgan får nog förklara vidare. Jag kollar så länge med en asse från skolan!
-1.jpg?width=800&upscale=false)
A,b,c,d-metoden funkar men du har fel data in:
1,0 avbildas på 0,-1
0,1 avbildas på -1,0
Analys skrev:A,b,c,d-metoden funkar men du har fel data in:
1,0 avbildas på 0,-1
0,1 avbildas på -1,0
Hur avbildas 1,0 på 0,-1 och sen 0,1 på -1,0 ? Vad betyder att det avbildas? Jag har för mig spegelbilden av 1 0 är 1 0 och spegelbilden av 0 1 är 0 -1? Jag antar att det är just det du försöker säga mig.
I bilden ser du hur 1,0 och 0,1 speglas i y=-x. Se de små pilarna.
Analys skrev:I bilden ser du hur 1,0 och 0,1 speglas i y=-x. Se de små pilarna.
Tror ej riktigt jag ser hur du menar. Men jag lyckades få ihop detta något sätt med någon asse.Tack !
destiny99 skrev:Analys skrev:A,b,c,d-metoden funkar men du har fel data in:
1,0 avbildas på 0,-1
0,1 avbildas på -1,0
Hur avbildas 1,0 på 0,-1 och sen 0,1 på -1,0 ? Vad betyder att det avbildas? Jag har för mig spegelbilden av 1 0 är 1 0 och spegelbilden av 0 1 är 0 -1? Jag antar att det är just det du försöker säga mig.
Svårt att släppa detta! Det du beskriver ovan är spegling i x-axeln. Tex 1,1 speglas i 1,-1.
men frågan rörde ju spegling i linjen y=-x. Om du kollar på mina små pilar nedan så ser du att 1,0 speglas i 0,-1 och att 0,1 speglas i -1,0.
Analys skrev:destiny99 skrev:Analys skrev:A,b,c,d-metoden funkar men du har fel data in:
1,0 avbildas på 0,-1
0,1 avbildas på -1,0
Hur avbildas 1,0 på 0,-1 och sen 0,1 på -1,0 ? Vad betyder att det avbildas? Jag har för mig spegelbilden av 1 0 är 1 0 och spegelbilden av 0 1 är 0 -1? Jag antar att det är just det du försöker säga mig.
Svårt att släppa detta! Det du beskriver ovan är spegling i x-axeln. Tex 1,1 speglas i 1,-1.
men frågan rörde ju spegling i linjen y=-x. Om du kollar på mina små pilar nedan så ser du att 1,0 speglas i 0,-1 och att 0,1 speglas i -1,0.
Jag förstår fortfarande ej hur den speglingen blir som du beskriver. Vill du visa med en tydligare bild kanske?
Så, 4 olika speglingar och den sista relevant för denna fråga.




Analys skrev:Så, 4 olika speglingar och den sista relevant för denna fråga.
Hm okej.
