3
svar
182
visningar
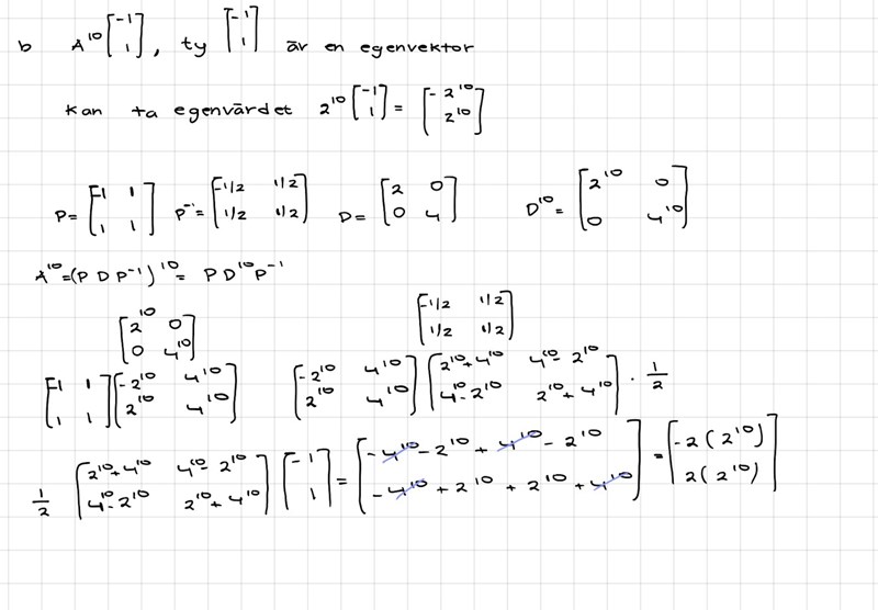
Bestäm matrisen A upphöjt till 10


Hej, jag försökte lösa uppgift b genom att ta A^10=(PDP^-1)^10= PD^(10)P^-1. Efter att jag då fick fram matrisen A^10 tog jag den • [-1,1], men detta blev fel. Kan man inte göra på detta sätt?
Sen undrar jag även hur de har gjort i facit, genom att bara ta egenvärdet 2 upphöjt till 10 och sedan gånger vektorn, hur funkar detta?
Det går att räkna som du gör. Du har nog bara gjort något slarvfel. Visa hur du räknar så kan vi kanske hitta felet.
Du tappade bort faktorn 1/2.

