2
svar
98
visningar
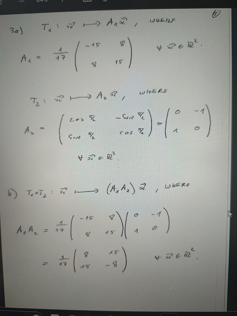
Bestäm matriserna A1,A2 och till T1°T2
Hej! Jag försöker lösa denna fråga fråga gammal tenta men förstår inte varför deras A1 matris som min fast med bytt plats på vektorerna? Vet inte vad jag gör fel?:(
Så hör ser frågan ut:

Här är facit:

Så hör har jag tänkt:

Tack på förhand!
Tänk efter om du använt rätt värde på . Är detta en riktningsvektor till linjen y = 4x?
Oj nej det är sant den borde vara ! Tack!:D