2
svar
63
visningar
offan123 behöver inte mer hjälp
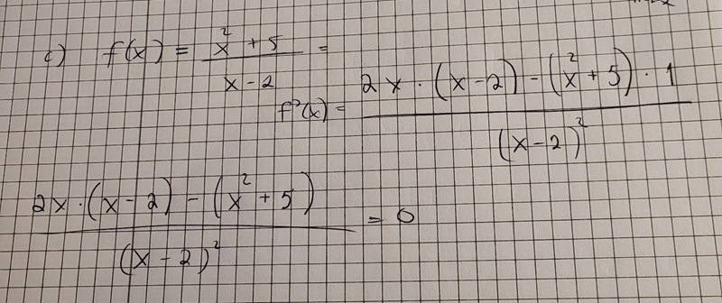
Bestäm max- & minipunkter
Jag har funktionen f(x) och har deriverat den. När jag ska hitta nollställena får jag problem. Men jag borde bara kunna förenkla täljaren och sedan skriva om den mha reglerna för att få den att se ut som nämnaren?
Förenklar jag så får jag i täljsten x^2 - 4x -5 men eftersom parentesen där nere inte får bli noll så struntar jag i den och bara löser täljaren=0? (Dvs pq-formeln?) Och då får jag nollställena?
Jag vet inte vad du menar med "se ut som nämnaren", men det stämmer att du kan betrakta enbart täljaren för att hitta nollställena. Man får dock kolla efteråt att inte något av nollställena gör nämnaren till noll också.
Ja. Om täljaren är 0 så har hela bråket värdet 0 om nämnaren är "snäll".