8
svar
141
visningar
Kaplir behöver inte mer hjälp
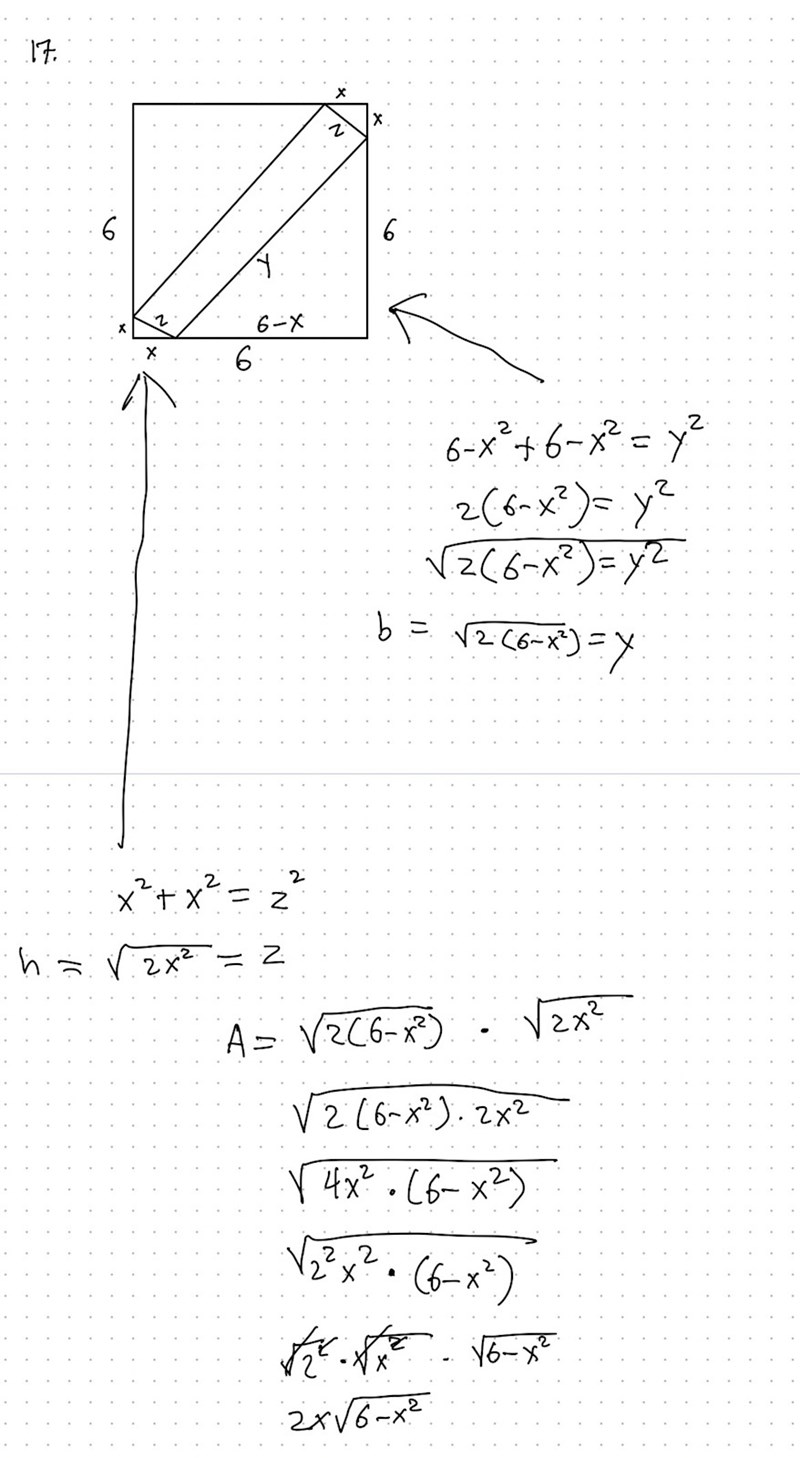
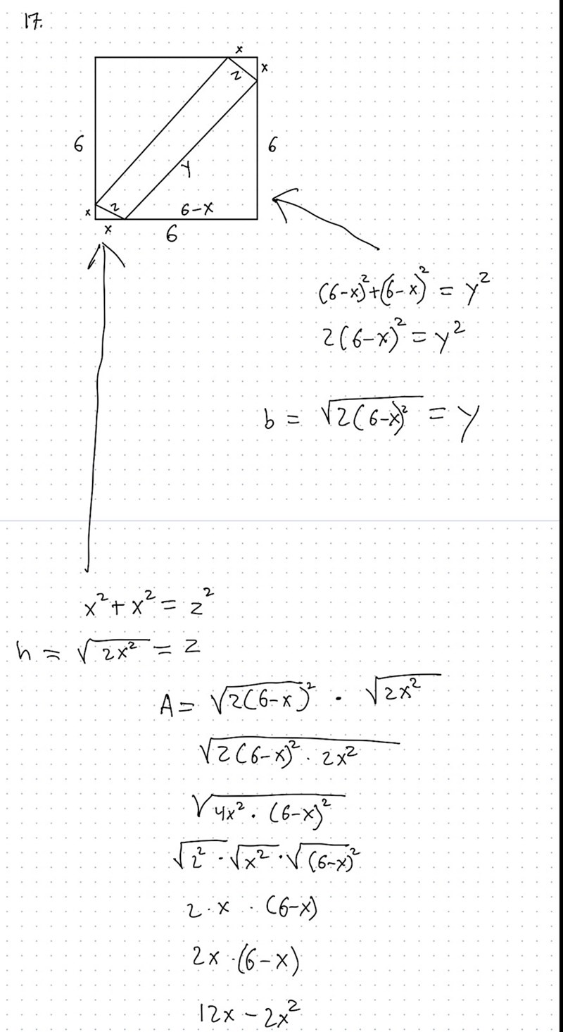
Bestäm maximal area av rektangeln
Hej behöver hjälp med en uppgift
här är frågan

Såhär långt har jag försökt

Hur stor blev y uttryckt i x?
Förstår inte vad du menar.
Du skriver
Det stämmer inte riktigt. Du får använda Pythagoras.
Hade räknat lite fel. Nu kommer jag inte längre än såhär.
Ja, arean blir
För vilket x-värde maximeras A(x)? Det kan lösas med några olika metoder.
Ja juste först derivera och sedan = 0 så får jag maximipunkten :)?
Ja, eller kvadratkomplettering av andragradsfunktionen (eller hitta symmetrilinjen).
Tack för hjälpen! Fick Area = 18