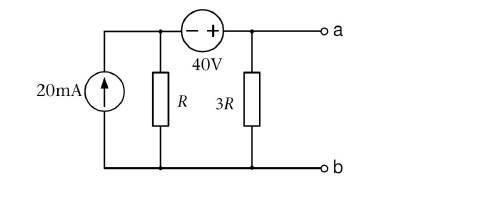
Bestäm maximala effektutvecklingen hos en resistor som ansluts mellan a och b

Där R=5kOhm
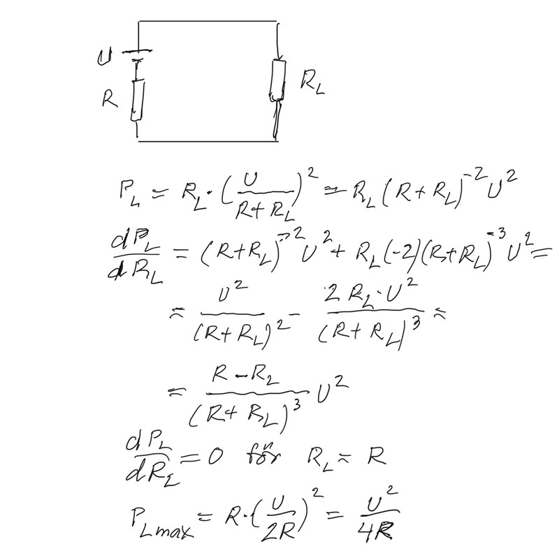
Jag har omvandlat från Norton till Thevenin fram och tillbaka tills jag tillslut fick en ekvivalent spänningstvåpol med en spänningskälla på 45V och en seriekopplad 3750Ohms resistor, när jag nu ska bestämma maximala effekten mellan a och b är det bara att ta 45V*12mA=0.54W? dvs spänningen gånger strömmen i kretsen?
Jan Ragnar skrev:
Tack så jättemycket! förstår inte riktigt din frågeställning. Ska vi inte använda formeln
Jo, maximal effekt i belastningen fås för RL= 3,75 kΩ. Spänningen över lasten är då 52,5 V så maxeffekten blir 0,735 W.
Jan Ragnar skrev:Jo, maximal effekt i belastningen fås för RL= 3,75 kΩ. Spänningen över lasten är då 52,5 V så maxeffekten blir 0,735 W.
Så , hur kommer det sig?
Jan Ragnar skrev:
Tack ska du ha väldigt snällt! :)

