2
svar
93
visningar
XLeNT behöver inte mer hjälp
Bestäm maximipunkten y=(bråk)
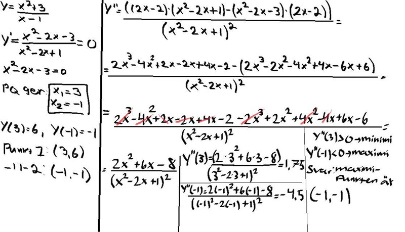
Bestäm maximipunkten till y=(x2+3)/(x-1)
Förstår att jag ska derivera med kvotregeln.
sätta y'=0 och söka extrempunkter, sen sätta in x-värdena i y=(x2+3)/(x-1) för att få ut y.
Problemet blir när jag ska köra andraderivatan för att se om punkterna är maximi eller minimi.
Sen känns det skumt när jag förenklar det. Men eftersom jag inte bör behöva förenkla för att stoppa in x-värdet så testade jag att köra på ändå.

Men det känns som att något är fel.
Kan det hända att jag gjort slarvfel?
Tack på förhand!
Ett hett tips är att inte använda andraderivatan för en sådan funktion (som kräver kvotregeln för förstaderivatan). Det blir bara grisigt.
Använd teckentabell!
Ska definitivt testa det!