Bestäm minsta längden nät som Camila behöver
Hej!
har fastnat på denna uppgift, vet inte vart jag ska börja och hur man ska tänka.
Det enda jag tror att jag förstår är att om man ska bestämma minsta längden på nätet ska man tänka derivatan på en funktion om jag nu inte har fel.
Gräsmattan har jag kommit fram till nu att det är 25m^2 eftersom sidorna var 5m.
snälla hjälp!
Tack! / Erika

Gräsmattan har jag kommit fram till att det är 25m^2 eftersom sidorna var 5m.
Står det verkligen så här i uppgiften?

Yngve skrev:Står det verkligen så här i uppgiften?
Oj ursäkta, det ska stå boets andra sida utgörs av burens ena sida.
så långt har jag kommit just nu men har fastnat vet inte hur jag ska få y.
Uppgiften är inte tillräckligt tydligt formulerad.
Det står t.ex. inte att boets form är en rätvinklig triangel.
Inte heller att två av boets sidor ska sammanfalla med burens sidor.
Kan du ladda upp en bild av ursprungstexten?
Yngve skrev:Uppgiften är inte tillräckligt tydligt formulerad.
Det står t.ex. inte att boets form är en rätvinklig triangel.
Inte heller att två av boets sidor ska sammanfalla med burens sidor.
Kan du ladda upp en bild av ursprungstexten?
Det var exakt så de hade formulerat det, vi fick det tyvärr på lektionen och de bilderna ritade jag direkt av uppgiften. Har tyvärr inte bild på ursprungstexten utan kopierade det för hand.
30 dm2 är inte samma som 3 m2. Vilket ska vi använda?
Jag tror man kan börja med att strunta i hur stor gräsmattan är, och anta att allting får plats. Visar det sig att det inte gör det får man justera.
Laguna skrev:30 dm2 är inte samma som 3 m2. Vilket ska vi använda?
Jag tror man kan börja med att strunta i hur stor gräsmattan är, och anta att allting får plats. Visar det sig att det inte gör det får man justera.
Okej förstår i uppgiften står det 30dm^2 så vi kan väl använda det.
Vet dock inte hur man ska fortsätta :(
Låt x och y vara rektangelns dimensioner. Boet blir då en triangel med kateterna 4 och x. Gör en formel för arean och en för hur mycket nät som behövs.
Laguna skrev:Låt x och y vara rektangelns dimensioner. Boet blir då en triangel med kateterna 4 och x. Gör en formel för arean och en för hur mycket nät som behövs.
Hur gör man en formel för hur mycket nät som behövs hur vet jag det?'
Nu har jag kommit fram till att arean för boet 2x.
Vilket jag tror betyder att hela arean är 30 + 2x.
Finns det nån som kan hjälpa mig :(
Om vi utgår från din figur i inlägg #5 samt uttrycker längder i dm och area i dm^2.
I #11 skriver du att arean för rastgården är 30+2x och att boets area är 2x men jag förstår inte hur du kom fram till det.
Vad är arean för rastgården med beteckningarna du har i figuren? Det är en rektangel + en triangel.
Och vad blir nätets längd med beteckningarna i figuren? Det är bara att addera sidorna!
Programmeraren skrev:Om vi utgår från din figur i inlägg #5 samt uttrycker längder i dm och area i dm^2.
I #11 skriver du att arean för rastgården är 30+2x och att boets area är 2x men jag förstår inte hur du kom fram till det.Vad är arean för rastgården med beteckningarna du har i figuren? Det är en rektangel + en triangel.
Och vad blir nätets längd med beteckningarna i figuren? Det är bara att addera sidorna!
Jag hade tänkt om sidorna är x och 4 på triangeln skulle jag ta arean=b*h/2 och då fick jag att det skulle bli 2x och hela rastgårdens area fick vi i uppgiften som var 30dm^2. Har jag missat något?
Aha, du har ritat en ny figur där du bytt plats på på x och y. Vi kör med den nya istället.
Arean av triangeln är som du säger 2x. Det är en del av rastgården. Hur stor är den andra rektangulära delen uttryckt med x och y?
Programmeraren skrev:Aha, du har ritat en ny figur där du bytt plats på på x och y. Vi kör med den nya istället.
Arean av triangeln är som du säger 2x. Det är en del av rastgården. Hur stor är den andra rektangulära delen uttryckt med x och y?
Den rektangulära delen är 30dm^2 eftersom vi fick det i uppgiften och det är arean exklusive triangeln. Förstod jag dig rätt?
Nej, den totala arean av rastgården är 30 dm2. Titta in din figur. Hur stor är arean av rastgården om du bortser från delen som är en triangel som du redan vet är 2x?. Det är enklare än du tror, titta på dina beteckningar.
Visa spoiler
Arean av rektangeln är x*y. Den totala arean av rastgården är xy+2x. Den ska vara 30, dvs:
xy+2x=30
Programmeraren skrev:Nej, den totala arean av rastgården är 30 dm2. Titta in din figur. Hur stor är arean av rastgården om du bortser från delen som är en triangel som du redan vet är 2x?. Det är enklare än du tror, titta på dina beteckningar.
Visa spoiler
Arean av rektangeln är x*y. Den totala arean av rastgården är xy+2x. Den ska vara 30, dvs:
xy+2x=30
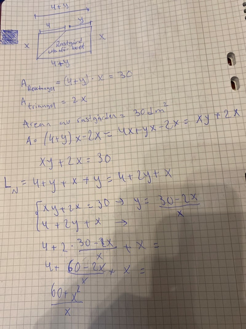
Såhär som på bilden har jag tänkt,
är inte arean av rektangeln (4+y)x =30 och triangelns area 2x. Förstår inte varför rektangelns area skulle vara x*y. Det är rastgårdens area som är 30dm^2 inte hela buren enligt uppgiften som jag tror att du har missat :)
Du menar hela rektangeln och jag menade "arean av rastgården om du bortser från delen som är en triangel som du redan vet är 2x".
Men det blir samma sak i slutändan:
A=(4+y)x-2x=4x+yx-2x=xy+2x
Men beror det på hur man ska tolka uppgiften. Jag tolkade rastgården som det utrymme hamstern har att röra sig på utanför boet. Dvs xy+2x=30
Så jag tror vi har tolkat det lika men blev missförstånd om vilken rektangel vi pratade om.
Vad blir uttrycket för längden av nätet?
Programmeraren skrev:Du menar hela rektangeln och jag menade "arean av rastgården om du bortser från delen som är en triangel som du redan vet är 2x".
Men det blir samma sak i slutändan:
A=(4+y)x-2x=4x+yx-2x=xy+2x
Men beror det på hur man ska tolka uppgiften. Jag tolkade rastgården som det utrymme hamstern har att röra sig på utanför boet. Dvs xy+2x=30
Så jag tror vi har tolkat det lika men blev missförstånd om vilken rektangel vi pratade om.Vad blir uttrycket för längden av nätet?
Jaha då ser jag hur du tänkte, då blir längden av nätet: 4+y+x+y=4+2y+x
Du ska minimera längden. Hur gör man för att hitta minpunkten?
Och innan dess vill du "bli av" med y i uttrycket så att det endast innehåller en variabel. Hur kan du göra det?
Programmeraren skrev:Du ska minimera längden. Hur gör man för att hitta minpunkten?
Och innan dess vill du "bli av" med y i uttrycket så att det endast innehåller en variabel. Hur kan du göra det?
Jag vet att man ska sätta f'(x)=0 för att få minpunkten och kanske att man kan använda submetoden eller ekvationsssytem för att få bort y men vet dock inte hur man ska göra det, med vilka värden osv.
Du vet att:
xy+2x=30
Då kan du lösa ut y och ersätta y i uttrycket:
L=4+2y+x
kommer inte längre än såhär :(
Nu har du något du kan derivera för att hitta minimum.
För att slippa kvotregeln kan du förenkla innan du deriverar, skriv det som två termer istället.
Visa spoiler
L=(60+x^2)/x=60/x+x
Programmeraren skrev:För att slippa kvotregeln kan du förenkla innan du deriverar, skriv det som två termer istället.
Visa spoiler
L=(60+x^2)/x=60/x+x
Jag fick hela svaret alltså lägsta längden av nätet till ungefär 15 fick ni samma?
Jag fick x=7,75 och y=1,87 --> L=15,5.
Programmeraren skrev:Jag fick x=7,75 och y=1,87 --> L=15,5.
Tack så jätte mycket vi fick samma!! :)