2
svar
42
visningar
KlmJan behöver inte mer hjälp
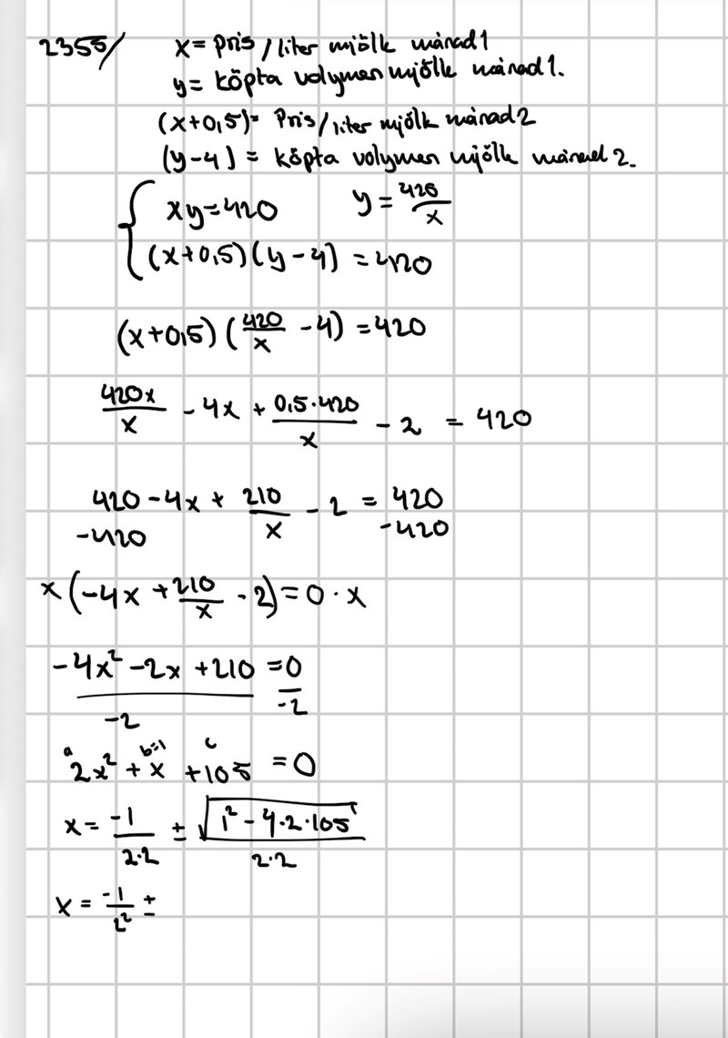
Bestäm mjölkens pris
Hej! Jag har nu suttit i tre dagar med denna uppgift och kommer absolut ingen vart. Jag kar kommit på ett ekvationssystem som man kan använda sig av för att lösa uppgiften, men själva ekvationslösningen går verkligen åt skogen varje gång, för jag kommer aldrig fram till en jämn rot. Jag slutförde inte uträkningen jag bifogar för jag insåg att något gått snett, men kan inte komma på vad.


Tack på förhand :)
Tredje raden från slutet har + 105 inte bytt tecken.
TACK! Löste det äntligen :)