bestäm n
Bestäm de heltal n > 0 som gör att uttrycket saknar reell term.
Kan någon hjälpa mig att lösa denna?
Jag vet att jag skriva om till polär form så r=2. Men hur ska fortsätta?
Vilken blir vinkeln?
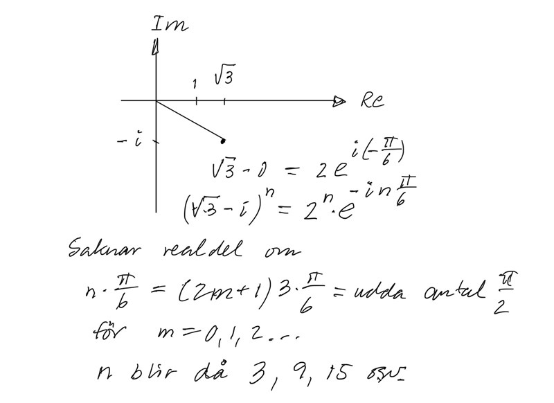
och för vilka n blir n*alfa jämt delbart med +/- pi, dessa vinklar ger ju ingen realdel.
Analys skrev:Vilken blir vinkeln?
och för vilka n blir n*alfa jämt delbart med +/- pi, dessa vinklar ger ju ingen realdel.
Jag försökte räkna ut vinkeln så här med miniräknare fick men med formelblad det står
så vad blir vinkeln?
Båda är sanna, prova att beräkna tangens för båda.
Sorry, detta var fel. Låt mig tänka lite.
Men nu, för vilka poditiva heltal n blir vinkel -pi/6 * n = -pi/2 -k*pi, k också heltal.
tex för n=3 och k=0
Såhär är det:
tan har ju en periodicitet på pi, arctans svar kan man alltså lägga till n*pi till.
men, vårt komplexa tal ligger i 4:e kvadranten, därför är arg = -pi/6. Endast.
Analys skrev:Men nu, för vilka poditiva heltal n blir vinkel -pi/6 * n = -pi/2 -k*pi, k också heltal.
tex för n=3 och k=0
vad är det för k?
Det speglar att det inte bara finns en lösning på problemet, alla -pi/6*n som träffar vinkeln:
-pi/2 , -3pi/2 , -5pi/2…..
Analys skrev:Det speglar att det inte bara finns en lösning på problemet, alla -pi/6*n som träffar vinkeln:
-pi/2 , -3pi/2 , -5pi/2…..
Jag fattar inte?
Ok, backar lite:
vi vet att vinkel är -pi/6
ok?
