1
svar
110
visningar
shadosi behöver inte mer hjälp
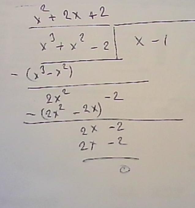
Bestäm nollställerna
Hej! Jag har en fråga som jag behöver hjälp med:)
Jag har löst den men det känns att svaret inte rätt då jag får en 2 som rest och inte noll, uppskattar verkligen om någon kunde hjälpa mig med denna fråga har prov nu på fredag :)

Min lösning till uppgiften:

Här gör du fel

