Bestäm området begränsad av grafer
Tja, jag har försökt med en uppgift i ett tag nu och kommit en del på vägen. Jag vet dock inte hur jag ska uppnå ett exakt svar.

Jag skrev in funktionerna på desmos och fick fram vilket område det var samt skärningspunkterna

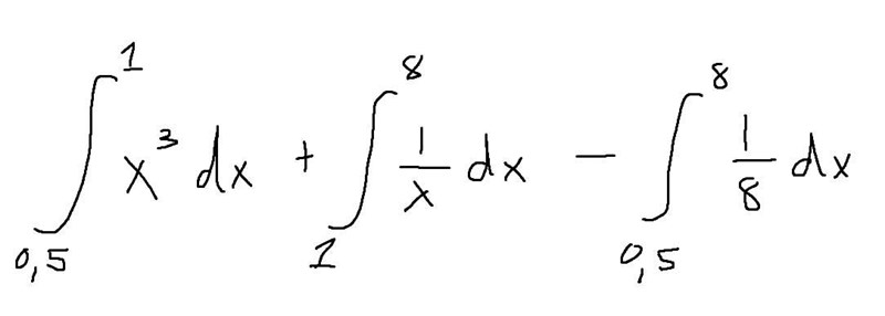
Jag fick då fram definitionen för arean att bli

(ber i förväg ursäkt om paint-handstilen).
Hur ska jag nu tillväga gå?
Har du problem med alla tre integralerna?
Med exakt svar menas i stort sätt att man räknar för hand, utan att avrunda någonstans, om det var det du fastnade på.
Jag gjorde det hela för hand och fick fram det till
ln(8) - 0,703125
Är detta korrekt?
Hur fick du fram 0,703... för hand??
Om jag skulle ge mig på att räkna i huvudet borde det bli typ såhär?
1/4 - 1/64 + ln8 -15/16
Så gör om till 64-delar och sen kanske det går att förkorta.
Slår man det på miniräknaren var det visst samma ändå. Du har ju inte fel, men jag tror det förväntas ett svar i bråkform.
Tack så mycket för hjälpen!