Bestäm områdets area

Kan någon markera på min ”skissade graf” vilket område jag ska beräkna arean av? För jag förstår inte hur jag ska tolka texten
Snygg skiss!

Är det rätt?
Nej det stämmer inte.
Dels är gränsen fel, dels är det fel område du försöker areaberäkna.
Du försöker areaberäkna följande område.

Gör istället så här:
Dela in området i en vänster- och en högerdel där gränsen utgörs av linjen x = 1.
Areaberäkna dessa två områden och summera deras areor.
Så här:

Jag vet inte hur jag ska göra för att beräkna arean. Varför ska gränsen gå där x=1? Jag har fastnat
Det är olika funktioner som är överfunktion på olika sidor om x = 1.
Okej deras skärningspunkt är då x=1
Hur kommer jag vidare?
Du har fel överfunktion.
Katarina149 skrev:Jag vet inte hur jag ska göra för att beräkna arean. Varför ska gränsen gå där x=1? Jag har fastnat
Till att börja med - är du med på att det är det röda området som ska areaberäknas och att det kan delas upp i en vänster- och en högerdel enligt mina tidigare svar?
Om nej, fråga specifikt om det du vill få en tydligare förklaring av.
Om ja kan du fortsätta läsa här:
Gränsen ska gå där funktionernas grafer skär varandra, dvs vid , se uppdaterad bild.
Uttrycket för blir en enkel integral från till .
Uttrycket för blir även det en enkel integral från till .

Vad menar du med fel överfunktion?
Katarina149 skrev:
Hur kommer jag vidare?
Kan du i en bild visa vilket område du vill areaberäkna med den integralen?
Yngve skrev:Katarina149 skrev:Jag vet inte hur jag ska göra för att beräkna arean. Varför ska gränsen gå där x=1? Jag har fastnat
Till att börja med - är du med på att det är det röda området som ska areaberäknas och att det kan delas upp i en vänster- och en högerdel enligt mina tidigare svar?
Om nej, fråga specifikt om det du vill få en tydligare förklaring av.
Om ja kan du fortsätta läsa här:
Gränsen ska gå där funktionernas grafer skär varandra, dvs vid , se uppdaterad bild.
Uttrycket för blir en enkel integral från till .
Uttrycket för blir även det en enkel integral från till .
Nej jag är inte med på varför du delar in området på det sättet som du gör
Katarina149 skrev:
Nej jag är inte med på varför du delar in området på det sättet som du gör
Det är för att hela det röda området inte låter sig areaberäknas med endast ett integraluttryck.
Och det beror i sin tur på att det är olika funktioner som ska integreras i olika delar av intervallet från till
Vi måste dela upp integralberäkningen på något sätt.
Jag förstår inte hur du har delat det här svarta området i två delar.
Hur gjorde du när du delade in området i A1 och A2?
Katarina149 skrev:Jag förstår inte hur du har delat det här svarta området i två delar.
Hur gjorde du när du delade in området i A1 och A2?
Ser du att den blå och den gröna linjen korsar varandra vid x = 1? Det gör att det svartmarkerade området har olika överfunktion när x < 1 och när x > 1.
är det så du menar?
Ja, jag tror att du menar samma sak som jag menar.
Jag gör ett nytt försök. Det verkar inte vara rätt. Men så gjorde jag iallafall


Katarina149 skrev:Jag gör ett nytt försök. Det verkar inte vara rätt. Men så gjorde jag iallafall
Du har nu beräknat arean av en del (den vänstra delen) av område 2, fast på ett komplicerat sätt.
Tänkte du fortsätta med att areaberäkna även den högra delen, dvs den till höger om x = 1?
det är det jag inte vet hur man ska göra..
Katarina149 skrev:det är det jag inte vet hur man ska göra..
Jag har ringat in den högra delen av område 2 med rött. Om du tycker att det är svårt att areaberäkna den delen sä kan du helt enkelt tänka bort den räta linjen y = 3 - x eftersom den inte är med i begränsningen av just det området.

Det står "Figuren visar". Kan du visa den figuren också?
Yngve skrev:Katarina149 skrev:det är det jag inte vet hur man ska göra..
Jag har ringat in den högra delen av område 2 med rött. Om du tycker att det är svårt att areaberäkna den delen sä kan du helt enkelt tänka bort den räta linjen y = 3 - x eftersom den inte är med i begränsningen av just det området.
kan man räkna ut arean av det röda området genom att anta att det är en triangel
Nej varför det?
Arean är helt enkelt integralen av från till , precis som vanligt.
Jag vill lösa uppgiften om från början.
När jag ritar graferna så syns det inte tydligt hur jag kan dela in arean i A1 och A2 utifrån bilden jag har ritat

Om du ritar en bättre bild så syns det.
.jpg?width=800&upscale=false)
Hur ska jag göra för att rita en ”bättre bild”?
Menar du när du ritar för hand?
Se till att ha samma skala på x-axeln och y-axeln
Vilka funktionsvärden beräknade du för parabeln f(x) = 5-3x2? Mer specifikt, vilket värde fick du fram för y(1) ? Vilket x-värde fick du för ekvationen f(x) = 0?
I det här fallet skulle jag hellre vilja säga - se till att inte göra figuren skalenlig.
Jag tycker att det här är en "bättre" bild på så sätt att den tydligt visar vilka funktioner/grafer som är relevanta i vilka intervall:

Ja men hur ska jag veta att området kan delas in i två delar om jag inte ritar? För det framgår inte tydligt att man ska dela området i två delar av min bild...
Vem säger att du inte ska rita?
Jag menar att att det blir svårt att se hur jag ska dela in området när jag ritar. Har du tips på hur man ska göra för att det ska bli enklare att se?
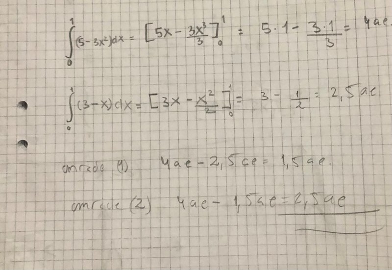
Nytt försök
A1 är rätt, men vid beräkmingen av A2 använder du fel övre integrationsgräns. Dessutom ändrar du den under uträkningens gång.

Yngve skrev:A1 är rätt, men vid beräkmingen av A2 använder du fel övre integrationsgräns. Dessutom ändrar du den under uträkningens gång.
Vad ska integrationsgränsen vara?
Kan du tydligt markera vad för fel jag gör?
Katarina149 skrev:
Vad ska integrationsgränsen vara?
Kan du tydligt markera vad för fel jag gör?
Övre integrationsgränsen ska vara den -koordinat där parabeln skär x-axeln, dvs lösningen till ekvationen .
Lös den ekvationen och kontrollera själv om du använder rätt värde eller inte.
Ja, så räknade jag. Jag räknade med den övre integrationsgränsen som (roten ur 15)/3
5-3x^2 =0 ger x=(roten ur 15)/3
Visa steg för steg hur du räknar ut integrationsgränsen, så kan vi hjälpa dig att hitta var du har räknat fel (för det har du).
Katarina149 skrev:Ja, så räknade jag. Jag räknade med den övre integrationsgränsen som (roten ur 15)/3
5-3x^2 =0 ger x=(roten ur 15)/3
Du kan och bör alltid alltid kontrollera dina resultat när du har löst en ekvation.
Har du gjort det?
- Om ja, visa hur du har gjort det och berätta vad du kom fram till.
- Om nej så gör det, visa hur du gjorde och berätta vad du kom fram till.
Katarina149 skrev:
Nytt försök
Jag räknade 5-3x^2=0
för att hitta skärningspunkten vid x axeln.
lösningen av den ekvationen
Vilket är den övre integrationsgränsen.
Ja det stämmer. Jag hade fel.
Dåligt av mig att inte inse att det är samma sak som .
Då är det bara en enkel felskrivning vid första integralen, där du skrev att den övre gränsen är

Nej det står ( roten ur 15)/3 . Men jag skriver kanske otydligt
Ja nu när jag förstorar riktigt mycket ser jag den lilla ettan.
Då hade jag fel igen 🙏
Men har jag rätt svar på frågan? Dvs när jag adderar A1 och A2?
Ja, ditt närmevärde är rätt.
(Men du bör svara med ett exakt värde.)