Bestäm överföringsfunktionen blockschema
Hej!
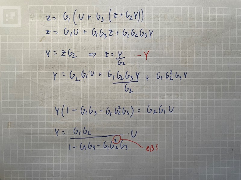
På denna uppgiften känner jag mig förvirrad varför det gulmarkerade Z inte är ett Y? G2 går väl in i summacirkeln via Y tänker jag? Hur ska jag resonera?
Mina beräkningar är längst ner. Jag får ett G22. Jag har också lite funderingar på varför det inte blir ett -Y (ritat dit med rött, har ej räknat med detta) då det går en signal ut därifrån också. Är detta för att där inte finns någon summasymbol?




Din gulmarkering är i en parentes som innehåller Z plus Y, alltså Z plus G2Z.
Ofta subtraherar man Y I liknande kopplingar, men här har man valt att inte göra det.
Okej, så Y=G2Z alltså. Det känner jag igen, att mätsignalen blir överföringsfunktionen gånger styrsignalen Y(s)=G(s)U(s). Tack för förklaringen!