0
svar
97
visningar
destiny99 behöver inte mer hjälp
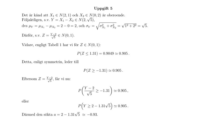
Bestäm P(Y>=a)=0.905



Hej!
Såhär löste jag den och i lösningen får de till D). Varför är det D) och inte A)?