Bestäm P(Y=k|X=n)
Hej!
jag fastnade på denna uppgift a) och skulle behöva ledtråd i b). 
Tänk så här:
Det skapas X=n partiklar (kanske det är ngt radioaktivt ämne) och en partikelräknare försöker räkna dessa men lyckas bara att upptäcka en partikel med slh p, d.v.s. antingen lyckas den upptäcka partikel nr. i, eller så gör den det inte. Vad kallar vi en sådan fördelning Z_i som är ”1/0”?
ANTALET upptäckta partiklar är då Y=sum_1^n Z_i och vilken fördelning har då denna?
Trinity2 skrev:Tänk så här:
Det skapas X=n partiklar (kanske det är ngt radioaktivt ämne) och en partikelräknare försöker räkna dessa men lyckas bara att upptäcka en partikel med slh p, d.v.s. antingen lyckas den upptäcka partikel nr. i, eller så gör den det inte. Vad kallar vi en sådan fördelning Z_i som är ”1/0”?
ANTALET upptäckta partiklar är då Y=sum_1^n Z_i och vilken fördelning har då denna?
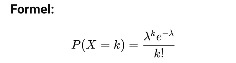
Eftersom det är possion fördelad så skall vi ha denna formel,men vi saknar lambda om vi har k.

Det är antalet partiklar som passerar räknaren, men inte antalet som räknas. Om en händelse, som att räkna en partikel, kan lyckas eller misslyckas, vad kallar du en sådan händelse?
Trinity2 skrev:Det är antalet partiklar som passerar räknaren, men inte antalet som räknas. Om en händelse, som att räkna en partikel, kan lyckas eller misslyckas, vad kallar du en sådan händelse?
Jaha okej, oj jag har inte allt i huvudet justnu. Men om sannolikhet att något inträffar är p så är sannolikheten att det inte inträffar 1-p dvs komplementet.
Nu är vi på god väg.
antingen så räknas en partikel med slh p eller så gör den det inte med slh 1-p
vad kallas en sådan fördelning med denna egenskap?
Trinity2 skrev:Nu är vi på god väg.
antingen så räknas en partikel med slh p eller så gör den det inte med slh 1-pvad kallas en sådan fördelning med denna egenskap?
Bernoullifördelning?
Nej
Trinity2 skrev:Nej
Binomialfördelning
Trinity2 skrev:Ja
Så då är detta vi ska göra i a)?

Hur ska man tänka i b) uppgiften?
A) är ännu ej rätt
var kommer 2 ifrån?
Trinity2 skrev:A) är ännu ej rätt
var kommer 2 ifrån?
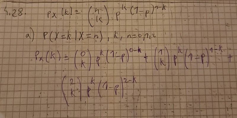
Jag trodde vi skulle räkna ut n=0,n=1 och n=2 efter att vi ställt upp vilken fördelning det handlar om och sen summera ihop. Men facit svarar enbart med formeln för binomialfördelning i a).