3
svar
147
visningar
Bestäm personens största fart
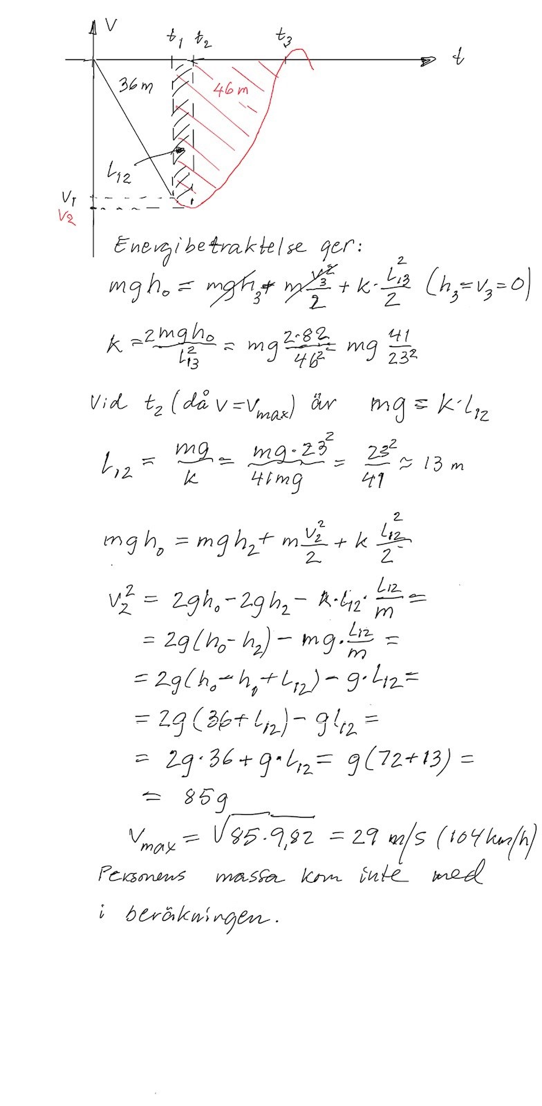
Hej, jag skulle behöva hjälp. Såhär lyder uppgiften och mitt försök finns nedan. Tack på förhand.


Vad är det du vill ha hjälp med? Vet du vad det är du skall räkna ut?
Jan Ragnar skrev:
Ja. Egentligen tar du här reda på vad den största kinetiska energi blir.
OP kanske borde rita en graf av energierna som funktion av höjd för att förstå resonemanget.
