Bestäm primitiv funktion
Hej!
Jag har en uppgift där jag ska bestämma en primitiv funktion till
Men hur gör jag det? Jag kan inte komma på något sätt att skriva om med hjälp av t.ex. de trigonometriska formlerna.
desperat skrev:Hej!
Jag har en uppgift där jag ska bestämma en primitiv funktion till
Men hur gör jag det? Jag kan inte komma på något sätt att skriva om med hjälp av t.ex. de trigonometriska formlerna.
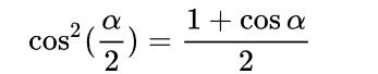
den här borde fungera bra att använda för omskrivning

Var/hur hittade du den formeln?
den hittar jag här
https://sv.wikibooks.org/wiki/Formelsamling/Matematik/Trigonometri#Andra_likheter
Du har säkert någon liknande formel för cos2, men den kanske är formulerad på ngt annat sätt, exvis

Ja, dessa har jag på mitt formelblad. Men hur använder jag t.ex.
när jag har cos22x ? Då är det ju liksom både dubbel vinkel och i kvadrat
om v = 2x så är 2v = 4x
alltså gäller
2cos2(2x) -1 = cos(4v)