2
svar
102
visningar
coffeshot behöver inte mer hjälp
Bestäm primitiv funktion enligt givna villkor
Hej! Har problem med följande uppgift:
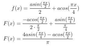
För en primitiv funktion F till funktionen f gäller att F(2)=0
Bestäm F om

Min lösning är följande:

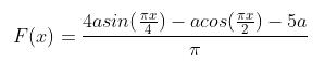
Facits lösning är däremot
alltså lägger de till -5a i slutet.
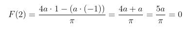
Jag förstår inte riktigt varför. Jag testade att beräkna värdet av F(2), det ger mig att

(efter att ha satt in sin och cos-värdena)
Så 5a får jag ju som svar, men jag förstår fortfarande inte riktigt kopplingen.
Du har glömt att lägga till en konstant term, typ C , i F(x).
Sedan kan du få fram värdet på C genom att använda F(2)=0
Henning skrev:Du har glömt att lägga till en konstant term, typ C , i F(x).
Sedan kan du få fram värdet på C genom att använda F(2)=0
Tack, det stämmer!