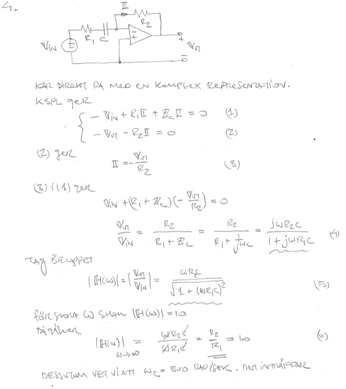
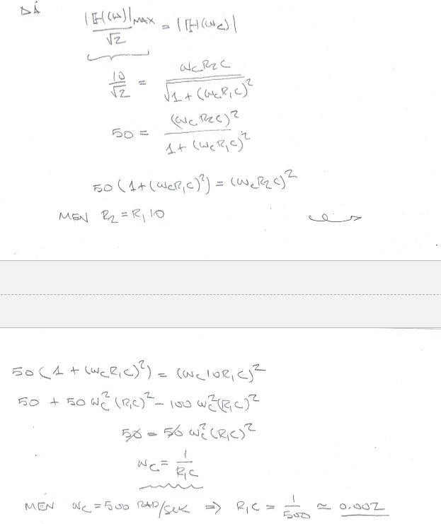
Bestäm R1,R2 och C.
Hej! Jag försöker förstå lösningen till denna gamla tentafråga. Jag hade gjort samma som i facit fram till ekvation 4 men därefter är det något jag inte hänger med på.
Varför tar de inte hela beräkningen av H(omega)? är det för att när omega går mot oändligheten så blir 1:an obetydlig i jämförelse?


Facit:


Tack på förhand!
Absolutbeloppet på ett komplext tal . Är du med på det?
Grafiskt är det en rätvinklig triangel med katetrarna a och b där absolutbeloppet är hypotenusan.
När w -> oändligheten så blir (wR1C)2 mycket större än 1 så den ettan kan försummas.
ThomasN skrev:Absolutbeloppet på ett komplext tal . Är du med på det?
Grafiskt är det en rätvinklig triangel med katetrarna a och b där absolutbeloppet är hypotenusan.När w -> oändligheten så blir (wR1C)2 mycket större än 1 så den ettan kan försummas.
Ah okej då förstår jag:) tack så mycket!