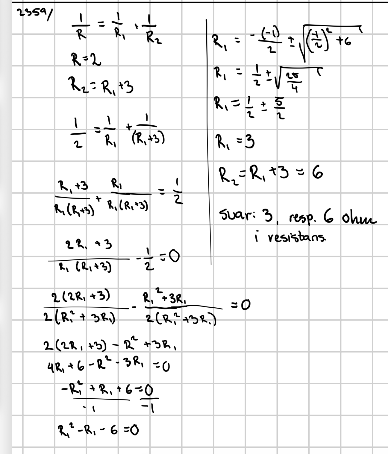
Bestäm resistorernas motstånd
Hej!
Jag hade behövt lite hjälp med följande uppgift:

JAg vet itne riktigt hur jag ska börja. Jag tänker att den ena resistorn han skrivas om så att båda står i R2. Då blir det ekvationen (1/R2 +3) + 1/R2=3
MEn å andra sidan kanske man kan kasta om uttrycket så man tex får 1/R2=1/R - 1/R1 och att det som står i H.L där ska vara lika med 1/R1+3? Jag vet inte, men det var två tankar jag hade. Båda känns dock lite fel.
Tack på förhand!
Bägge uttrycken kommer att ge dig rätt svar.
I det ena fallet har du skrivit att R1 är störst, i det andra fallet att R2 är störst.
Jag tror du är på sätt spår, men som Bubo säger är det du skriver lite inkonsekvent.
Sedan är det "bara" att lösa för R1.
KlmJan skrev:så man tex får 1/R2=1/R - 1/R1 och att det som står i H.L där ska vara lika med 1/R1+3?
...Det som står i VL...
Och parentes: 1/(R1+3)
sictransit skrev:Jag tror du är på sätt spår, men som Bubo säger är det du skriver lite inkonsekvent.
Sedan är det "bara" att lösa för R1.
jaha, jag trodde att 1/R =2, kan varit därför det inte verkade som att mina metoder fungerade.
Sedan förstod jag också att det var lite inkonsekvent men det var bara två olika tankar på lösningar jag hade, som var skilda från varandra :)
KlmJan skrev:sictransit skrev:Jag tror du är på sätt spår, men som Bubo säger är det du skriver lite inkonsekvent.
Sedan är det "bara" att lösa för R1.
jaha, jag trodde att 1/R =2, kan varit därför det inte verkade som att mina metoder fungerade.
Sedan förstod jag också att det var lite inkonsekvent men det var bara två olika tankar på lösningar jag hade, som var skilda från varandra :)
Jo, det händer ofta, att man glömmer att det skall vara 1/Rtot på ena sidan likhetstecknet. Det blir märkliga resistorvärden då.
Under hela min uträkning trodde jag att jag var på helt fel väg och tänkte att jag skulle få fel, för det det är så det sett ut de senaste uppgifterna då jag konstant fått fel, men jag fortsatte och det visade sig att jag för en gång skull räknat rätt! Inte på egen hand dock, jag har er att tacka för det :)

Tjusigt!
Jag räknade inte ut något åt dig. Det enda jag gjorde vara att ställa upp den ekvation du beskrivit.
Bra löst!