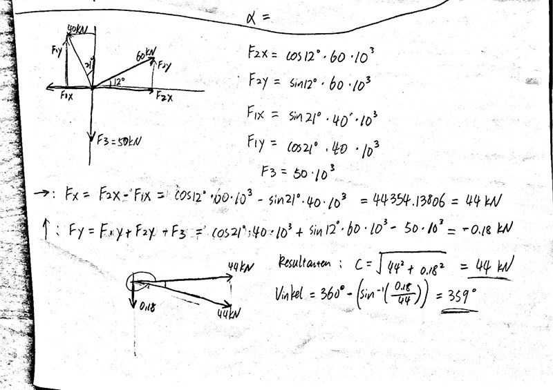
Bestäm resultanten till storlek och riktning till följande system av krafter

Så här har ja gjort:


I facit står det att resultanten till kraftsystemet är: 45 kN och rikting är 0 grader.
Vad har ja gjort fel?
Tror inte du har gjort något fel, ibland står det bara lite annorlunda i facit. Möjligen att du inte har använt de exakta värdena i räkningarna men du verkar ha löst uppgiften på ett korrekt sätt.
Kan någon förklara:
1) Varför man använder cos på F2x men inte på F1x ?
2) Varför använder man subtraktion för att räkna ut kraftresultanten längs x-led, men addition för att räkna ut kraftresultanten längs y-led?
3) Varför man räknar ut vinkeln på det sättet, vet att sin-1 beräknas genom (motsatta/hypotenusan), men vet ej varför vi räknar ut detta.
Dani163 skrev:Kan någon förklara:
1) Varför man använder cos på F2x men inte på F1x ?
Titta på triangeln som spänns upp av kraftkomponenterna till så borde du förstå. Om du vill använda cosinus måste det vara motstående vinkel eller 90 - 21 = 69 grader vilket skulle ge:
Det är alltså bara trigonometri.
2) Varför använder man subtraktion för att räkna ut kraftresultanten längs x-led, men addition för att räkna ut kraftresultanten längs y-led?
Om du tittar på figuren ser du att är riktad åt höger men är riktad åt vänster. Därmed blir negativ om vi tar höger som positiv riktning.
Du ser även i samma figur att och har samma riktning uppåt vilket ger addition.
3) Varför man räknar ut vinkeln på det sättet, vet att sin-1 beräknas genom (motsatta/hypotenusan), men vet ej varför vi räknar ut detta.
Mycket oklart vad du inte vet och vad du egentligen undrar.
Du borde förmodligen uppdatera dina trigonometriska och geometriska matematikkunskaper.
cjan1122 skrev:Tror inte du har gjort något fel, ibland står det bara lite annorlunda i facit. Möjligen att du inte har använt de exakta värdena i räkningarna men du verkar ha löst uppgiften på ett korrekt sätt.
ja har använd den exakt värdena som uppgiften ger, men fick fortfarande inte samma som facit. Speciellt på vinkelgraden, alltså riktning på kraften.
Förstå inte varför.
Någon
"Någon??"
Facit avrundar väl lite väl mycket men din räkning är rätt. T.ex. kan man inse direkt att vinkeln inte är 0 grader eftersom y-komponenten av kraftsumman är 40*cos(21)+60*sin(12)-50=-0.18 kN som du har räknat. Kraften har således en komponent i y-led som är icke-noll så vinkeln kommer inte vara 0.
Du har räknat rätt men facit anger svaret lite slarvigt