1
svar
97
visningar
Kovac behöver inte mer hjälp
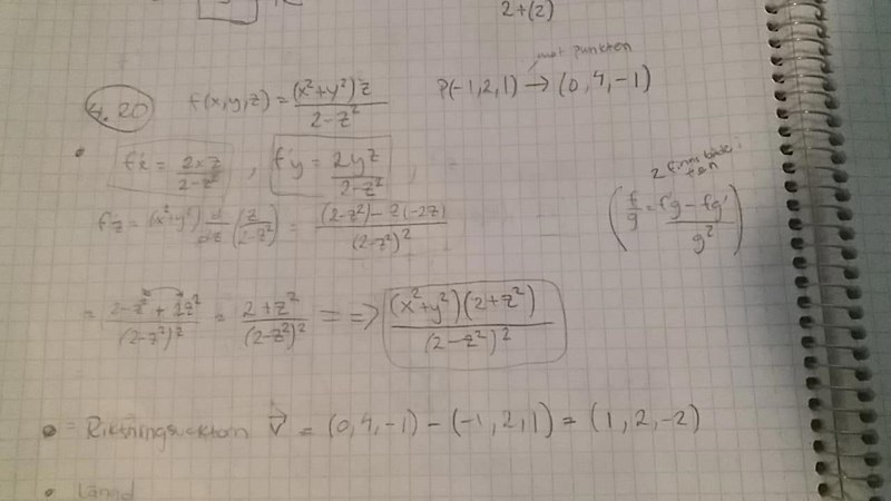
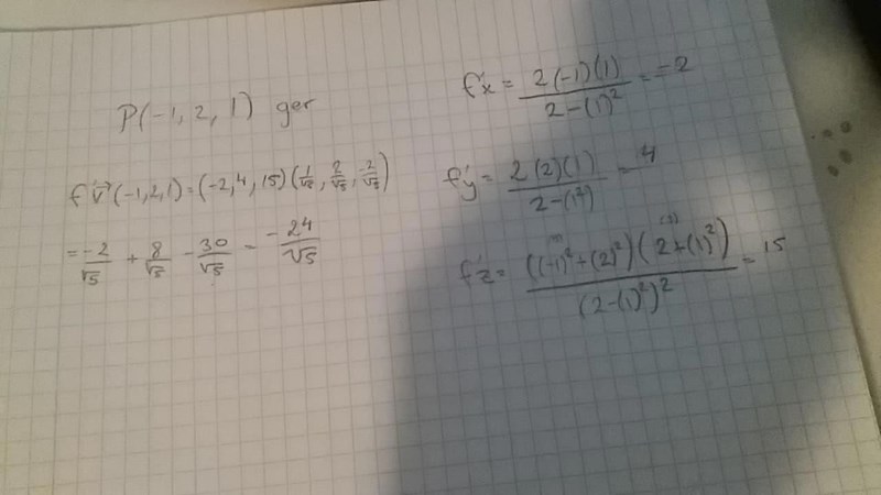
Bestäm riktningsderivatanuppgift




Svaret ska bli -8. Men jag får -24/sqrt(5). Vet inte vad jag gör för fel?
tror jag gjort fel på vektorlängden ser jag nu, ska se